小学数学公式归纳的意义在于帮助学生更好地理解和掌握数学知识,培养他们的逻辑思维能力和解决问题的能力。通过归纳整理相关的数学公式,学生可以发现其中的规律和共性,从而更好地理解数学概念和关系。这种思维方式对于学生进一步学习更高级的数学知识非常重要。以下是关于“小学数学公式大全及全面知识点总结完整版下载”的具体内容,有需要的朋友快来这里看看吧。

文章目录
小学数学公式大全
一、小学数学几何形体周长面积体积计算公式:
1、长方形的周长 = (长 +宽)×2C=(a+b) ×2
2、长方形的面积 = 长×宽S=ab
3、长方体的体积=长×宽×高V=abh
4、正方形的周长 = 边长×4C=4a
5、正方形的面积 = 边长×边长S=a.a
6、正方体的体积=棱长×棱长×棱长V=aaa
7、三角形的面积 = 底×高÷2S=ah÷2
8、内角和:三角形的内角和=180 度。
9、平行四边形的面积 =底×高S=ah
10、梯形的面积 =(上底 +下底)×高÷2S= (a+ b ) h÷2
11、直径 =半径×2d=2r
12、半径 = 直径÷2r= d ÷2
13、圆的周长 =圆周率×直径 =圆周率×半径×2c= πd =2 π r
14、圆的面积 =圆周率×半径×半径S= π r r
15、圆柱表面积 =底面周长×高+ 顶部圆面积×2S=ch+2s
16、圆柱侧面积 =底面的周长乘高。S=ch= π dh = 2π rh
17、圆柱的体积 =底面积×高。V=Sh
18、圆锥的体积 =1/3 底面×积高。V=1/3Sh
二、单位换算
1、1 公里= 1 千米 1 千米= 1000 米 1 米= 10 分米
1 分米= 10 厘米 1 厘米= 10 毫米
2、 1 平方米= 100 平方分米 1 平方分米= 100 平方厘米
1 平方厘米= 100 平方毫米
3、 1 立方米= 1000 立方分米 1 立方分米= 1000 立方厘米
1 立方厘米= 1000 立方毫米
4、 1吨= 1000 千克 1 千克 = 1000克 = 1公斤 =2 市斤
5、 1公顷= 10000 平方米 1 亩= 666.666平方米
6、 1升= 1 立方分米= 1000 毫升 1 毫升= 1 立方厘米
7、1 元=10 角 1 角=10 分 1 元=100 分
8、 1 世纪 =100 年 1 年=12 月
大月 (31 天 ):1\3\5\7\8\10\12月小月(30天):4\6\9\11月
平年 2月28天, 闰年 2月29天
平年全年 365 天 , 闰年全年 366 天
9、1 日 =24 小时 1 时=60 分 1 分=60 秒 1 时=3600 秒
三、算术方面
(一)分数
0、分数的基本性质:
分数的分子和分母同时乘以或除以同一个数(0 除外),分数的大小不变。
1、分数的加、减法则:
同分母的分数相加减,只把分子相加减,分母不变。
异分母的分数相加减,先通分,然后再加减。
2、分数的乘法则:
分数乘分数,用分子的积做分子,用分母的积做分母。
分数乘整数,用分数的分子和整数相乘后作分子,分母不变。
3、分数的除法则:
分数除以整数(0 除外),等于分数乘以这个整数的倒数。
4、分数大小的比较:
同分母的分数相比较,分子大的大,分子小的小。异分母的分数相比较,先通分然后再比较;若分子相同,分母大的反而小。
5、真分数:分子比分母小的分数叫做真分数。
6、假分数:分子比分母大或者分子和分母相等的分数叫做假分数。
假分数大于或等于1。
7、带分数:把假分数写成整数和真分数的形式,叫做带分数。
(二)整数
1、加法交换律:两数相加交换加数的位置,和不变。
2、加法结合律:三个数相加,先把前两个数相加,或先把后两个数
相加,再同第三个数相加,和不变。
3、乘法交换律:两数相乘,交换因数的位置,积不变。
4、乘法结合律:三个数相乘,先把前两个数相乘,或先把后两个数
相乘,再和第三个数相乘,它们的积不变。
5、乘法分配律:两个数的和同一个数相乘,可以把两个加数分别同
这个数相乘,再把两个积相加,结果不变。如:(2+4 )×5=2×5+4×5。
6、除法的性质:在除法里,被除数和除数同时扩大(或缩小)相同
的倍数,商不变。0 除以任何不是0 的数都得0。
7、等式:等号左边的数值与等号右边的数值相等的式子叫做等式。
等式的基本性质:等式两边同时乘以(或除以)一个相同的数,等式
仍然成立。
8、方程式:含有未知数的等式叫方程式。
9、一元一次方程式:含有一个未知数,并且未知数的次数是一次的
等式叫做一元一次方程式。
四、特殊问题
1、和差问题(和+差 )÷ 2=大数(和-差 )÷2=小数
2、和倍问题和÷ (倍数-1)=小数小数×倍数=大数
(或者和-小数=大数)
3、差倍问题差÷ (倍数-1)=小数小数×倍数=大数
(或小数+差=大数)
4、植树问题
(一)非封闭线路上的植树问题主要可分为以下三种情形:
(1)如果在非封闭线路的两端都要植树,那么 :
株数=段数+ 1=全长÷株距-1
全长=株距× (株数- 1)
株距=全长÷ (株数- 1)
(2)如果在非封闭线路的一端要植树,另一端不要植树,那么 :株数=段数=全长÷株距
全长=株距×株数
株距=全长÷株数
(3)如果在非封闭线路的两端都不要植树,那么 : 株
数=段数- 1=全长÷株距- 1
全长=株距× (株数+ 1)
株距=全长÷ (株数+ 1)
(二)封闭线路上的植树问题的数量关系如下
4
全长=株距×株数
株距=全长÷株数
5、盈亏问题
(盈+亏 )÷两次分配量之差=参加分配的份数
(大盈-小盈 )÷两次分配量之差=参加分配的份数
(大亏-小亏 )÷两次分配量之差=参加分配的份数
6、相遇问题
相遇路程=速度和×相遇时间
相遇时间=相遇路程÷速度和
速度和=相遇路程÷相遇时间
7、追及问题
追及距离=速度差×追及时间
追及时间=追及距离÷速度差
速度差=追及距离÷追及时间
8、流水问题
(1)一般公式:
顺流速度=静水速度+水流速度
逆流速度=静水速度-水流速度
静水速度= (顺流速度+逆流速度 )÷2 水
流速度= (顺流速度-逆流速度 )÷2
(2)两船相向航行的公式:
甲船顺水速度 +乙船逆水速度=甲船静水速度 +乙船静水速度
(3)两船同向航行的公式:
后(前)船静水速度-前(后)船静水速度=两船距离缩小(拉大)
速度
浓度问题
溶质的重量+溶剂的重量=溶液的重量
溶质的重量÷溶液的重量× 100%=浓度溶
液的重量×浓度=溶质的重量溶质的重量÷
浓度=溶液的重量
9、利润与折扣问题
利润=售出价-成本
利润率=利润÷成本× 100%=(售出价÷成本- 1)×100% 涨跌金额=本金×涨跌百分比
折扣=实际售价÷原售价×100%( 折扣< 1)
利息=本金×利率×时间
税后利息=本金×利率×时间×(1- 5%)
10、工程问题
( 1)一般公式:
工作效率×工作时间=工作总量
工作总量÷工作时间=工作效率
工作总量÷工作效率=工作时间
( 2)用假设工作总量为“1”的方法解工程问题的公式:
1÷工作时间 =单位时间内完成工作总量的几分之几
1÷单位时间能完成的几分之几=工作时间
小学数学知识点总结
一、概念
(一)整数
1、整数的意义
自然数和0都是整数。
2、自然数
我们在数物体的时候,用来表示物体个数的1,2,3……叫做自然数。
一个物体也没有,用0表示。0也是自然数。
3、计数单位
一(个)、十、百、千、万、十万、百万、千万、亿……都是计数单位。其中“一”是计数的基本单位。
10个1是10,10个10是100……每相邻两个计数单位之间的进率都是10。这样的计数法叫做十进制计数法。
4、数位
计数单位按照一定的顺序排列起来,它们所占的位置叫做数位。
5、整数的读法:从高位到低位,一级一级地读。读亿级、万级时,先按照个级的读法去读,再在后面加一个“亿”或“万”字。每一级末尾的0都不读出来,其它数位连续有几个0都只读一个零。
6、整数的写法:从高位到低位,一级一级地写,哪一个数位上一个单位也没有,就在那个数位上写0。
7、一个较大的多位数,为了读写方便,常常把它改写成用“万”或“亿”作单位的数。有时还可以根据需要,省略这个数某一位后面的数,写成近似数。
⑴ 准确数:在实际生活中,为了计数的简便,可以把一个较大的数改写成以万或亿为单位的数。改写后的数是原数的准确数。 例如把 1254300000 改写成以万做单位的数是 125430 万;改写成 以亿做单位 的数 12.543 亿。
⑵ 近似数:根据实际需要,我们还可以把一个较大的数,省略某一位后面的尾数,用一个近似数来表示。 例如: 1302490015 省略亿后面的尾数是 13 亿。⑶ 四舍五入法:求近似数,看尾数最高位上的数是几,比5小就舍去,是5或大于5舍去尾数向前一位进1。这种求近似数的方法就叫做四舍五入法。
8、整数大小的比较:位数多的那个数就大,如果位数相同,就看最高位,最高位上的数大,那个数就大;最高位上的数相同,就看下一位,哪一位上的数大那个数就大。以此类推。
(二)小数
1、小数的意义
把整数1平均分成10份、100份、1000份…… 得到的十分之几、百分之几、千分之几…… 可以用小数表示。如1/10记作0.1,7/100记作0.07。
一位小数表示十分之几,两位小数表示百分之几,三位小数表示千分之几……
一个小数由整数部分、小数部分和小数点部分组成。数中的圆点叫做小数点,小数点左边的数叫做整数部分,小数点左边的数叫做整数部分,小数点右边的数叫做小数部分。
小数点右边第一位叫十分位,计数单位是十分之一(0.1);第二位叫百分位,计数单位是百分之一(0.01)……小数部分最大的计数单位是十分之一,没有最小的计数单位。小数部分有几个数位,就叫做几位小数。如0.36是两位小数,3.066是三位小数
在小数里,每相邻两个计数单位之间的进率都是10。小数部分的最高分数单位“十分之一”和整数部分的最低单位“一”之间的进率也是10。
2、小数的读法:读小数的时候,整数部分按照整数的读法读,小数点读作“点”,小数部分从左向右顺次读出每一位数位上的数字。
3、小数的写法:写小数的时候,整数部分按照整数的写法来写,小数点写在个位右下角,小数部分顺次写出每一个数位上的数字。
4、比较小数的大小:先看它们的整数部分,,整数部分大的那个数就大;整数部分相同的,十分位上的数大的那个数就大;十分位上的数也相同的,百分位上的数大的那个数就大……
5、小数的分类
⑴ 纯小数:整数部分是零的小数,叫做纯小数。例如: 0.25 、 0.368 都是纯小数。
⑵ 带小数:整数部分不是零的小数,叫做带小数。 例如: 3.25 、 5.26 都是带小数。
⑶ 有限小数:小数部分的数位是有限的小数,叫做有限小数。 例如: 41.7 、 25.3 、 0.23 都是有限小数。
⑷ 无限小数:小数部分的数位是无限的小数,叫做无限小数。 例如: 4.33 …… 3.1415926 ……
⑸ 无限不循环小数:一个数的小数部分,数字排列无规律且位数无限,这样的小数叫做无限不循环小数。 例如:∏
⑹ 循环小数:一个数的小数部分,有一个数字或者几个数字依次不断重复出现,这个数叫做循环小数。 例如: 3.555 …… 0.0333 …… 12.109109 ……
一个循环小数的小数部分,依次不断重复出现的数字叫做这个循环小数的循环节。 例如: 3.99 ……的循环节是“ 9 ” , 0.5454 ……的循环节是“ 54 ” 。
⑺ 纯循环小数:循环节从小数部分第一位开始的,叫做纯循环小数。 例如: 3.111 …… 0.5656 ……
⑻ 混循环小数:循环节不是从小数部分第一位开始的,叫做混循环小数。 3.1222 …… 0.03333 ……
写循环小数的时候,为了简便,小数的循环部分只需写出一个循环节,并在这个循环节的首、末位数字上各点一个圆点。如果循环 节只有一个数字,就只在它的上面点一个点。
(三)分数
1、分数的意义
把单位“1”平均分成若干份,表示这样的一份或者几份的数叫做分数。
在分数里,中间的横线叫做分数线;分数线下面的数,叫做分母,表示把单位“1”平均分成多少份;分数线下面的数叫做分子,表示有这样的多少份。
把单位“1”平均分成若干份,表示其中的一份的数,叫做分数单位。
2、分数的读法:读分数时,先读分母再读“分之”然后读分子,分子和分母按照整数的读法来读。
3、分数的写法:先写分数线,再写分母,最后写分子,按照整数的写法来写。
4、比较分数的大小:
⑴ 分母相同的分数,分子大的那个分数就大。
⑵ 分子相同的分数,分母小的那个分数就大。
⑶ 分母和分子都不同的分数,通常是先通分,转化成通分母的分数,再比较大小。
⑷ 如果被比较的分数是带分数,先要比较它们的整数部分,整数部分大的那个带分数就大;如果整数部分相同,再比较它们的分数部分,分数部分大的那个带分数就大。
5、分数的分类
按照分子、分母和整数部分的不同情况,可以分成:真分数、假分数、带分数
⑴ 真分数:分子比分母小的分数叫做真分数。真分数小于1。
⑵ 假分数:分子比分母大或者分子和分母相等的分数,叫做假分数。假分数大于或等于1。
⑶ 带分数:假分数可以写成整数与真分数合成的数,通常叫做带分数。
6、分数和除法的关系及分数的基本性质
⑴ 除法是一种运算,有运算符号;分数是一种数。因此,一般应叙述为被除数相当于分子,而不能说成被除数就是分子。
⑵ 由于分数和除法有密切的关系,根据除法中“商不变”的性质可得出分数的基本性质。
⑶ 分数的分子和分母都乘以或者除以相同的数(0除外),分数的大小不变,这叫做分数的基本性质,它是约分和通分的依据。
7、约分和通分
⑴ 分子、分母是互质数的分数,叫做最简分数。
⑵ 把一个分数化成同它相等但分子、分母都比较小的分数,叫做约分。
⑶ 约分的方法:用分子和分母的公约数(1除外)去除分子、分母;通常要除到得出最简分数为止。
⑷ 把异分母分数分别化成和原来分数相等的同分母分数,叫做通分。
⑸ 通分的方法:先求出原来几个分母的最小公倍数,然后把各分数化成用这个最小公倍数作分母的分数。
8、倒 数
⑴ 乘积是1的两个数互为倒数。
⑵ 求一个数(0除外)的倒数,只要把这个数的分子、分母调换位置。
⑶ 1的倒数是1,0没有倒数
(四)百分数
1、百分数的意义
表示一个数是另一个数的百分之几的数 叫做百分数,也叫做百分率或百分比。百分数通常用”%”来表示。百分号是表示百分数的符号。
2、百分数的读法:读百分数时,先读百分之,再读百分号前面的数,读数时按照整数的读法来读。
3、百分数的写法:百分数通常不写成分数形式,而在原来的分子后面加上百分号“%”来表示。
4、百分数与折数、成数的互化:
例如:三折就是30%,七五折就是75%,成数就是十分之几,如一成就是牐 闯砂俜质 褪?0%,则六成五就是65%。
5、纳税和利息:
税率:应纳税额与各种收入的比率。
利率:利息与本金的百分率。由银行规定按年或按月计算。
利息的计算公式:利息=本金×利率×时间
6、百分数与分数的区别主要有以下三点:
⑴ 意义不同。百分数是“表示一个数是另一个数的百分之几的数。”它只能表示两数之间的倍数关系,不能表示某一具体数量。如:可以说 1米 是 5米 的 20%,不可以说“一段绳子长为20%米。”因此,百分数后面不能带单位名称。分数是“把单位‘1’平均分成若干份,表示这样一份或几份的数”。分数不仅 可以表示两数之间的倍数关系,如:甲数是3,乙数是4,甲数是乙数的?;还可以表示一定的数量,如:犌Э恕 米等。
⑵ 应用范围不同。百分数在生产、工作和生活中,常用于调查、统计、分析与比较。而分数常常是在测量、计算中,得不到整数结果时使用。
⑶ 书写形式不同。百分数通常不写成分数形式,而采用百分号“%”来表示。如:百分之四十五,写作:45%;百分数的分母固定为100,因此,不论百分数 的分子、分母之间有多少个公约数,都不约分;百分数的分子可以是自然数,也可以是小数。而分数的分子只能是自然数,它的表示形式有:真分数、假分数、带分 数,计算结果不是最简分数的一般要通过约分化成最简分数,是假分数的要化成带分数。
7、数的互化
⑴ 小数化成分数:原来有几位小数,就在1的后面写几个零作分母,把原来的小数去掉小数点作分子,能约分的要约分。
⑵ 分数化成小数:用分母去除分子。能除尽的就化成有限小数,有的不能除尽,不能化成有限小数的,一般保留三位小数。
⑶ 一个最简分数,如果分母中除了2和5以外,不含有其他的质因数,这个分数就能化成有限小数;如果分母中含有2和5 以外的质因数,这个分数就不能化成有限小数。
⑷ 小数化成百分数:只要把小数点向右移动两位,同时在后面添上百分号。
⑸ 百分数化成小数:把百分数化成小数,只要把百分号去掉,同时把小数点向左移动两位。
⑹ 分数化成百分数:通常先把分数化成小数(除不尽时,通常保留三位小数),再把小数化成百分数。
⑺ 百分数化成小数:先把百分数改写成分数,能约分的要约成最简分数。
(五)数的整除
1、整除的意义
整数a除以整数b(b ≠ 0),除得的商是整数而没有余数,我们就说a能被b整除,或者说b能整除a 。
除尽的意义 甲数除以乙数,所得的商是整数或有限小数而余数也为0时,我们就说甲数能被乙数除尽,(或者说乙数能除尽甲数)这里的甲数、乙数可以是自然数,也可以是小数(乙数不能为0)。
2、约数和倍数
⑴ 如果数a能被数b(b ≠ 0)整除,a就叫做b的倍数,b就叫做a的约数(或a的因数)。倍数和约数是相互依存的。
⑵ 一个数的约数的个数是有限的,其中最小的约数是1,最大的约数是它本身。
⑶ 一个数的倍数的个数是无限的,其中最小的倍数是它本身,没有最大的倍数。
3、奇数和偶数
⑴ 自然数按能否被2 整除的特征可分为奇数和偶数。
① 能被2整除的数叫做偶数。0也是偶数。
② 不能被2整除的数叫做奇数。
⑵ 奇数和偶数的运算性质:
① 相邻两个自然数之和是奇数,之积是偶数。
② 奇数+奇数=偶数,奇数+偶数=奇数,偶数+偶数=偶数;奇数-奇数=偶数,
奇数-偶数=奇数,偶数-奇数=奇数,偶数-偶数=偶数;奇数×奇数=奇数,奇数×偶数=偶数,偶数×偶数=偶数。
4、整除的特征
⑴ 个位上是0、2、4、6、8的数,都能被2整除。
⑵ 个位上是0或5的数,都能被5整除。
⑶ 一个数的各位上的数的和能被3整除,这个数就能被3整除。
⑷ 一个数各位数上的和能被9整除,这个数就能被9整除。
⑸ 能被3整除的数不一定能被9整除,但是能被9整除的数一定能被3整除。
⑹ 一个数的末两位数能被4(或25)整除,这个数就能被4(或25)整除。
⑺ 一个数的末三位数能被8(或125)整除,这个数就能被8(或125)整除。
5、质数和合数
⑴ 一个数,如果只有1和它本身两个约数,这样的数叫做质数(或素数),100以内的质数有:2、3、5、7、11、13、17、19、23、29、31、37、41、43、47、53、59、61、67、71、73、79、83、89、97。
⑵ 一个数,如果除了1和它本身还有别的约数,这样的数叫做合数,例如 4、6、8、9、12都是合数。
⑶ 1不是质数也不是合数,自然数除了1外,不是质数就是合数。如果把自然数按其约数的个数的不同分类,可分为质数、合数和1。
6、分解质因数
⑴ 质因数
每个合数都可以写成几个质数相乘的形式。其中每个质数都是这个合数的因数,叫做这个合数的质因数,例如15=3×5,3和5 叫做15的质因数。
⑵ 分解质因数
把一个合数用质因数相乘的形式表示出来,叫做分解质因数。通常用短除法来分解质因数。先用能整除这个合数的质数去除,一直除到商是质数为止,再把除数和商写成连乘的形式。
⑶ 公因(约)数
几个数公有的因数叫做这几个数的公因数。其中最大的一个叫这几个数的最大公因数。
公因数只有1的两个数,叫做互质数。成互质关系的两个数,有下列几种情况:①和任何自然数互质;
②相邻的两个自然数互质;
③当合数不是质数的倍数时,这个合数和这个质数互质;
④两个合数的公约数只有1时,这两个合数互质,如果几个数中任意两个都互质,就说这几个数两两互质。
如果较小数是较大数的约数,那么较小数就是这两个数的最大公约数。
如果两个数是互质数,它们的最大公约数就是1。
⑷ 公倍数
① 几个数公有的倍数叫做这几个数的公倍数。其中最大的一个叫这几个数的最大公倍数。
求几个数的最大公约数的方法是:先用这几个数的公约数连续去除,一直除到所得的商只有公约数1为止,然后把所有的除数连乘求积,这个积就是这几个数的的最大公约数。
② 几个数公有的倍数,叫做这几个数的公倍数,其中最小的一个,叫做这几个数的最小公倍数。
求几个数的最小公倍数的方法是:先用这几个数(或其中的部分数)的公约数去除,一直除到互质(或两两互质)为止,然后把所有的除数和商连乘求积,这个积就是这几个数的最小公倍数。
如果较大数是较小数的倍数,那么较大数就是这两个数的最小公倍数。
如果两个数是互质数,那么这两个数的积就是它们的最小公倍数。
几个数的公约数的个数是有限的,而几个数的公倍数的个数是无限的。
二、性质和规律
(一)商不变的规律
商不变的规律:在除法里,被除数和除数同时扩大或者同时缩小相同的倍,商不变。
(二)小数的性质
小数的性质:在小数的末尾添上零或者去掉零小数的大小不变。
(三)小数点位置的移动引起小数大小的变化
1、小数点向右移动一位,原来的数就扩大10倍;小数点向右移动两位,原来的数就扩大100倍;小数点向右移动三位,原来的数就扩大1000倍……
2、小数点向左移动一位,原来的数就缩小10倍;小数点向左移动两位,原来的数就缩小100倍;小数点向左移动三位,原来的数就缩小1000倍……
3、小数点向左移或者向右移位数不够时,要用“0″补足位。
(四)分数的基本性质
分数的基本性质:分数的分子和分母都乘以或者除以相同的数(零除外),分数的大小不变。
(五)分数与除法的关系
1、被除数÷除数= 被除数/除数
2、因为零不能作除数,所以分数的分母不能为零。
3、被除数 相当于分子,除数相当于分母。
三、运算法则
(一)整数四则运算的法则
1、整数加法:
把两个数合并成一个数的运算叫做加法。
在加法里,相加的数叫做加数,加得的数叫做和。加数是部分数,和是总数。
加数+加数=和 一个加数=和-另一个加数
2、整数减法:
已知两个加数的和与其中的一个加数,求另一个加数的运算叫做减法。
在减法里,已知的和叫做被减数,已知的加数叫做减数,未知的加数叫做差。被减数是总数,减数和差分别是部分数。
加法和减法互为逆运算。
3、整数乘法:
求几个相同加数的和的简便运算叫做乘法。
在乘法里,相同的加数和相同加数的个数都叫做因数。相同加数的和叫做积。
在乘法里,0和任何数相乘都得0. 1和任何数相乘都的任何数。
一个因数× 一个因数 =积 一个因数=积÷另一个因数
4、整数除法:
已知两个因数的积与其中一个因数,求另一个因数的运算叫做除法。
在除法里,已知的积叫做被除数,已知的一个因数叫做除数,所求的因数叫做商。
乘法和除法互为逆运算。
在除法里,0不能做除数。因为0和任何数相乘都得0,所以任何一个数除以0,均得不到一个确定的商。
被除数÷除数=商 除数=被除数÷商 被除数=商×除数
5、乘方:
求几个相同因数的积的运算叫做乘方。例如 3 × 3 =32
(二)小数四则运算
1、小数加法:
小数加法的意义与整数加法的意义相同。是把两个数合并成一个数的运算。
2、小数减法:
小数减法的意义与整数减法的意义相同。已知两个加数的和与其中的一个加数,求另一个加数的运算.
3、小数乘法:
小数乘整数的意义和整数乘法的意义相同,就是求几个相同加数和的简便运算;一个数乘纯小数的意义是求这个数的十分之几、百分之几、千分之几……是多少。
4、小数除法:
小数除法的意义与整数除法的意义相同,就是已知两个因数的积与其中一个因数,求另一个因数的运算。
(三)分数四则运算
1、分数加法:
分数加法的意义与整数加法的意义相同。 是把两个数合并成一个数的运算。
2、分数减法:
分数减法的意义与整数减法的意义相同。已知两个加数的和与其中的一个加数,求另一个加数的运算。
3、分数乘法:
分数乘法的意义与整数乘法的意义相同,就是求几个相同加数和的简便运算。
4、分数除法:
分数除法的意义与整数除法的意义相同。就是已知两个因数的积与其中一个因数,求另一个因数的运算。
(四)运算定律
1、加法运算定律
⑴ 加法交换律:
两个数相加,交换加数的位置,它们的和不变,即a+b=b+a 。
⑵ 加法结合律:
三个数相加,先把前两个数相加,再加上第三个数;或者先把后两个数相加,再和第一个数相加它们的和不变,即(a+b)+c=a+(b+c) 。
2、乘法运算定律
⑴ 乘法交换律:
两个数相乘,交换因数的位置它们的积不变,即a×b=b×a。
⑵ 乘法结合律:
三个数相乘,先把前两个数相乘,再乘以第三个数;或者先把后两个数相乘,再和第一个数相乘,它们的积不变,即(a×b)×c=a×(b×c) 。
⑶乘法分配律:
两个数的和与一个数相乘,可以把两个加数分别与这个数相乘,再把两个积相加,即(a+b)×c=a×c+b×c 。
⑷ 乘法分配律扩展:
两个数的差与一数相乘,可以先把它们与这个数分别相乘,再相减,即(a-b) ×c=a×c-b×c
3、减法运算定律
⑴ 从一个数里连续减去几个数,可以从这个数里减去所有减数的和,差不变,即a-b-c=a-(b+c) 。
⑵ 一个数连续减去两个数,可以先减去第二个减数,再减去第一个减数,即a-b-c=a-c-b。
4、除法运算定律
⑴ 一个数连续除以两个数,可以除以这两个数的集,即a÷b÷c=a÷(b×c)。
⑵ 一个数连续除以两个数,可以先除以第二除数,再除以第一个除数,即a÷b÷c=a÷c÷b。
5、其它
a-b+c=a+c-b
a-b+c=a+(b-c)
a÷b×c=a×c÷b
a÷b×c=a÷(b÷c)
6、积的变化规律:在乘法中,一个因数不变,另一个因数扩大(或缩小)若干倍,积也扩大(或缩小)相同的倍数。
推广:一个因数扩大A倍,另一个因数扩大B倍,积扩大AB倍。
一个因数缩小A倍,另一个因数缩小B倍,积缩小AB倍。
7、商不变性质: 在除法中,被除数和除数同时扩大(或缩小)相同的倍数,商不变。m≠0 a÷b=(a×m) ÷(b×m)=(a÷m) ÷(b÷m)
推广:被除数扩大(或缩小)A倍,除数不变,商也扩大(或缩小)A倍。
被除数不变,除数扩大(或缩小)A倍,商反而缩小(或扩大)A倍。
利用积的变化规律和商不变规律性质可以使一些计算简便。但在有余数的除法中要注意余数。如:8500÷200= 可以把被除数、除数同时缩小100倍来除,即85÷2= ,商不变,但此时的余数1是被缩小100被后的,所以还原成原来的余数应该是100。
(五)计算方法
1、整数加法计算法则:
相同数位对齐,从低位加起,哪一位上的数相加满十,就向前一位进一。
2、整数减法计算法则:
相同数位对齐,从低位加起,哪一位上的数不够减,就从它的前一位退一作十,和本位上的数合并在一起,再减。
3、整数乘法计算法则:
先用一个因数每一位上的数分别去乘另一个因数各个数位上的数,用因数哪一位上的数去乘,乘得的数的末尾就对齐哪一位,然后把各次乘得的数加起来。
4、整数除法计算法则:
先从被除数的高位除起,除数是几位数,就看被除数的前几位;如果不够除,就多看一位,除到被除数的哪一位,商就写在哪一位的上面。如果哪一位上不够商1,要补“0”占位。每次除得的余数要小于除数。
5、小数乘法法则:
先按照整数乘法的计算法则算出积,再看因数中共有几位小数,就从积的右边起数出几位,点上小数点;如果位数不够,就用“0”补足。
6、除数是整数的小数除法计算法则:
先按照整数除法的法则去除,商的小数点要和被除数的小数点对齐;如果除到被除数的末尾仍有余数,就在余数后面添“0”,再继续除。
7、除数是小数的除法计算法则:
先移动除数的小数点,使它变成整数,除数的小数点也向右移动几位(位数不够的补“0”),然后按照除数是整数的除法法则进行计算。
8、同分母分数加减法计算方法:
同分母分数相加减,只把分子相加减,分母不变。
9、异分母分数加减法计算方法:
先通分,然后按照同分母分数加减法的的法则进行计算。
10、带分数加减法的计算方法:
整数部分和分数部分分别相加减,再把所得的数合并起来。
11、分数乘法的计算法则:
分数乘整数,用分数的分子和整数相乘的积作分子,分母不变;分数乘分数,用分子相乘的积作分子,分母相乘的积作分母。
12、分数除法的计算法则:
甲数除以乙数(0除外),等于甲数乘乙数的倒数。
(六) 运算顺序
1、小数四则运算的运算顺序和整数四则运算顺序相同。
2、分数四则运算的运算顺序和整数四则运算顺序相同。
3、没有括号的混合运算:同级运算从左往右依次运算;两级运算 先算乘、除法,后算加减法。
4、有括号的混合运算:先算小括号里面的,再算中括号里面的,最后算括号外面的。
5、第一级运算:加法和减法叫做第一级运算。
6、第二级运算:乘法和除法叫做第二级运算。
四、应用
(一)整数和小数的应用
1、简单应用题
(1)简单应用题:只含有一种基本数量关系,或用一步运算解答的应用题,通常叫做简单应用题。
(2) 解题步骤:
a 审题理解题意:了解应用题的内容,知道应用题的条件和问题。读题时,不丢字不添字边读边思考,弄明白题中每句话的意思。也可以复述条件和问题,帮助理解题意。
b选择算法和列式计算:这是解答应用题的中心工作。从题目中告诉什么,要求什么着手,逐步根据所给的条件和问题,联系四则运算的含义,分析数量关系,确定算法,进行解答并标明正确的单位名称。
C检验:就是根据应用题的条件和问题进行检查看所列算式和计算过程是否正确,是否符合题意。如果发现错误,马上改正。
2、复合应用题
(1)有两个或两个以上的基本数量关系组成的,用两步或两步以上运算解答的应用题,通常叫做复合应用题。
(2)含有三个已知条件的两步计算的应用题。
求比两个数的和多(少)几个数的应用题。
比较两数差与倍数关系的应用题。
(3)含有两个已知条件的两步计算的应用题。
已知两数相差多少(或倍数关系)与其中一个数,求两个数的和(或差)。
已知两数之和与其中一个数,求两个数相差多少(或倍数关系)。
(4)解答连乘连除应用题。
(5)解答三步计算的应用题。
(6)解答小数计算的应用题:小数计算的加法、减法、乘法和除法的应用题,他们的数量关系、结构、和解题方式都与正式应用题基本相同,只是在已知数或未知数中间含有小数。
d答案:根据计算的结果,先口答,逐步过渡到笔答。
(7) 解答加法应用题:
a求总数的应用题:已知甲数是多少,乙数是多少,求甲乙两数的和是多少。
b求比一个数多几的数应用题:已知甲数是多少和乙数比甲数多多少,求乙数是多少。
(8) 解答减法应用题:
a求剩余的应用题:从已知数中去掉一部分,求剩下的部分。
-b求两个数相差的多少的应用题:已知甲乙两数各是多少,求甲数比乙数多多少,或乙数比甲数少多少。
c求比一个数少几的数的应用题:已知甲数是多少,,乙数比甲数少多少,求乙数是多少。
(9) 解答乘法应用题:
a求相同加数和的应用题:已知相同的加数和相同加数的个数,求总数。
b求一个数的几倍是多少的应用题:已知一个数是多少,另一个数是它的几倍,求另一个数是多少。
( 10) 解答除法应用题:
a把一个数平均分成几份,求每一份是多少的应用题:已知一个数和把这个数平均分成几份的,求每一份是多少。
b求一个数里包含几个另一个数的应用题:已知一个数和每份是多少,求可以分成几份。
C 求一个数是另一个数的的几倍的应用题:已知甲数乙数各是多少,求较大数是较小数的几倍。
d已知一个数的几倍是多少,求这个数的应用题。
(11)常见的数量关系:
总价= 单价×数量
路程= 速度×时间
工作总量=工作时间×工效
总产量=单产量×数量
3、典型应用题
具有独特的结构特征的和特定的解题规律的复合应用题,通常叫做典型应用题。
(1)平均数问题:平均数是等分除法的发展。
解题关键:在于确定总数量和与之相对应的总份数。
算术平均数:已知几个不相等的同类量和与之相对应的份数,求平均每份是多少。数量关系式:数量之和÷数量的个数=算术平均数。
加权平均数:已知两个以上若干份的平均数,求总平均数是多少。
数量关系式 (部分平均数×权数)的总和÷(权数的和)=加权平均数。
差额平均数:是把各个大于或小于标准数的部分之和被总份数均分,求的是标准数与各数相差之和的平均数。
数量关系式:(大数-小数)÷2=小数应得数 最大数与各数之差的和÷总份数=最大数应给数 最大数与个数之差的和÷总份数=最小数应得数。
例:一辆汽车以每小时 100 千米 的速度从甲地开往乙地,又以每小时 60 千米的速度从乙地开往甲地。求这辆车的平均速度。
分析:求汽车的平均速度同样可以利用公式。此题可以把甲地到乙地的路程设为“ 1 ”,则汽车行驶的总路程为“ 2 ”,从甲地到乙地的速度为 100 ,所用的时间为 ,汽车从乙地到甲地速度为 60 千米,所用的时间是 ,汽车共行的时间为 + = , 汽车的平均速度为 2 ÷ =75 (千米)
(2)归一问题:已知相互关联的两个量,其中一种量改变,另一种量也随之而改变,其变化的规律是相同的,这种问题称之为归一问题。
根据求“单一量”的步骤的多少,归一问题可以分为一次归一问题,两次归一问题。
根据球痴单一量之后,解题采用乘法还是除法,归一问题可以分为正归一问题,反归一问题。
一次归一问题,用一步运算就能求出“单一量”的归一问题。又称“单归一。”
两次归一问题,用两步运算就能求出“单一量”的归一问题。又称“双归一。”
正归一问题:用等分除法求出“单一量”之后,再用乘法计算结果的归一问题。
反归一问题:用等分除法求出“单一量”之后,再用除法计算结果的归一问题。
解题关键:从已知的一组对应量中用等分除法求出一份的数量(单一量),然后以它为标准,根据题目的要求算出结果。
数量关系式:单一量×份数=总数量(正归一)
总数量÷单一量=份数(反归一)
例 一个织布工人,在七月份织布 4774 米 , 照这样计算,织布 6930 米,需要多少天?
分析:必须先求出平均每天织布多少米,就是单一量。 693 0 ÷( 477 4 ÷ 31 ) =45 (天)
(3)归总问题:是已知单位数量和计量单位数量的个数,以及不同的单位数量(或单位数量的个数),通过求总数量求得单位数量的个数(或单位数量)。
特点:两种相关联的量,其中一种量变化,另一种量也跟着变化,不过变化的规律相反,和反比例算法彼此相通。
数量关系式:单位数量×单位个数÷另一个单位数量 = 另一个单位数量 单位数量×单位个数÷另一个单位数量= 另一个单位数量。
例 修一条水渠,原计划每天修 800 米 , 6 天修完。实际 4 天修完,每天修了多少米?
分析:因为要求出每天修的长度,就必须先求出水渠的长度。所以也把这类应用题叫做“归总问题”。不同之处是“归一”先求出单一量,再求总量,归总问题是先求出总量,再求单一量。 80 0 × 6 ÷ 4=1200 (米)
(4)和差问题:已知大小两个数的和,以及他们的差,求这两个数各是多少的应用题叫做和差问题。
解题关键:是把大小两个数的和转化成两个大数的和(或两个小数的和),然后再求另一个数。
解题规律:(和+差)÷2 = 大数 大数-差=小数
(和-差)÷2=小数 和-小数= 大数
例 某加工厂甲班和乙班共有工人 94 人,因工作需要临时从乙班调 46 人到甲班工作,这时乙班比甲班人数少 12 人,求原来甲班和乙班各有多少人?
分析:从乙班调 46 人到甲班,对于总数没有变化,现在把乙数转化成 2 个乙班,即 9 4 - 12 ,由此得到现在的乙班是( 9 4 - 12 )÷ 2=41 (人),乙班在调出 46 人之前应该为 41+46=87 (人),甲班为 9 4 - 87=7 (人)
(5)和倍问题:已知两个数的和及它们之间的倍数关系,求两个数各是多少的应用题,叫做和倍问题。
解题关键:找准标准数(即1倍数)一般说来,题中说是“谁”的几倍,把谁就确定为标准数。求出倍数和之后,再求出标准的数量是多少。根据另一个数(也可能是几个数)与标准数的倍数关系,再去求另一个数(或几个数)的数量。
解题规律:和÷倍数和=标准数 标准数×倍数=另一个数
例:汽车运输场有大小货车 115 辆,大货车比小货车的 5 倍多 7 辆,运输场有大货车和小汽车各有多少辆?
分析:大货车比小货车的 5 倍还多 7 辆,这 7 辆也在总数 115 辆内,为了使总数与( 5+1 )倍对应,总车辆数应( 115-7 )辆 。
列式为( 115-7 )÷( 5+1 ) =18 (辆), 18 × 5+7=97 (辆)
(6)差倍问题:已知两个数的差,及两个数的倍数关系,求两个数各是多少的应用题。
解题规律:两个数的差÷(倍数-1 )= 标准数 标准数×倍数=另一个数。
例 甲乙两根绳子,甲绳长 63 米 ,乙绳长 29 米 ,两根绳剪去同样的长度,结果甲所剩的长度是乙绳 长的 3 倍,甲乙两绳所剩长度各多少米? 各减去多少米?
分析:两根绳子剪去相同的一段,长度差没变,甲绳所剩的长度是乙绳的 3 倍,实比乙绳多( 3-1 )倍,以乙绳的长度为标准数。列式( 63-29 )÷( 3-1 ) =17 (米)…乙绳剩下的长度, 17 × 3=51 (米)…甲绳剩下的长度, 29-17=12 (米)…剪去的长度。
(7)行程问题:关于走路、行车等问题,一般都是计算路程、时间、速度,叫做行程问题。解答这类问题首先要搞清楚速度、时间、路程、方向、杜速度和、速度差等概念,了解他们之间的关系,再根据这类问题的规律解答。
解题关键及规律:
同时同地相背而行:路程=速度和×时间。
同时相向而行:相遇时间=速度和×时间
同时同向而行(速度慢的在前,快的在后):追及时间=路程速度差。
同时同地同向而行(速度慢的在后,快的在前):路程=速度差×时间。
例 甲在乙的后面 28 千米 ,两人同时同向而行,甲每小时行 16 千米 ,乙每小时行 9 千米,甲几小时追上乙?
分析:甲每小时比乙多行( 16-9 )千米,也就是甲每小时可以追近乙( 16-9 )千米,这是速度差。
已知甲在乙的后面 28 千米 (追击路程), 28 千米 里包含着几个( 16-9 )千米,也就是追击所需要的时间。列式 2 8 ÷ ( 16-9 ) =4 (小时)
(8)流水问题:一般是研究船在“流水”中航行的问题。它是行程问题中比较特殊的一种类型,它也是一种和差问题。它的特点主要是考虑水速在逆行和顺行中的不同作用。
船速:船在静水中航行的速度。
水速:水流动的速度。
顺水速度:船顺流航行的速度。
逆水速度:船逆流航行的速度。
顺速=船速+水速
逆速=船速-水速
解题关键:因为顺流速度是船速与水速的和,逆流速度是船速与水速的差,所以流水问题当作和差问题解答。解题时要以水流为线索。
解题规律:船行速度=(顺水速度+ 逆流速度)÷2
流水速度=(顺流速度逆流速度)÷2
路程=顺流速度× 顺流航行所需时间
路程=逆流速度×逆流航行所需时间
例 一只轮船从甲地开往乙地顺水而行,每小时行 28 千米 ,到乙地后,又逆水 航行,回到甲地。逆水比顺水多行 2 小时,已知水速每小时 4 千米。求甲乙两地相距多少千米?
分析:此题必须先知道顺水的速度和顺水所需要的时间,或者逆水速度和逆水的时间。已知顺水速度和水流速度,因此不难算出逆水的速度,但顺水所用的时间,逆水所用的时间不知道,只知道顺水比逆水少用 2 小时,抓住这一点,就可以就能算出顺水从甲地到乙地的所用的时间,这样就能算出甲乙两地的路程。列式为 284 × 2=20 (千米) 2 0 × 2 =40 (千米) 40 ÷( 4 × 2 ) =5 (小时) 28 × 5=140 (千米)。
(9)还原问题:已知某未知数,经过一定的四则运算后所得的结果,求这个未知数的应用题,我们叫做还原问题。
解题关键:要弄清每一步变化与未知数的关系。
解题规律:从最后结果 出发,采用与原题中相反的运算(逆运算)方法,逐步推导出原数。
根据原题的运算顺序列出数量关系,然后采用逆运算的方法计算推导出原数。
解答还原问题时注意观察运算的顺序。若需要先算加减法,后算乘除法时别忘记写括号。
例 某小学三年级四个班共有学生 168 人,如果四班调 3 人到三班,三班调 6 人到二班,二班调 6 人到一班,一班调 2 人到四班,则四个班的人数相等,四个班原有学生多少人?
分析:当四个班人数相等时,应为 168 ÷ 4 ,以四班为例,它调给三班 3 人,又从一班调入 2 人,所以四班原有的人数减去 3 再加上 2 等于平均数。四班原有人数列式为 168 ÷ 4-2+3=43 (人)
一班原有人数列式为 168 ÷ 4-6+2=38 (人);二班原有人数列式为 168 ÷ 4-6+6=42 (人)三班原有人数列式为 168 ÷ 4-3+6=45 (人)。
(10)植树问题:这类应用题是以“植树”为内容。凡是研究总路程、株距、段数、棵树四种数量关系的应用题,叫做植树问题。
解题关键:解答植树问题首先要判断地形,分清是否封闭图形,从而确定是沿线段植树还是沿周长植树,然后按基本公式进行计算。
解题规律:沿线段植树
棵树=段数+1 棵树=总路程÷株距+1
株距=总路程÷(棵树-1) 总路程=株距×(棵树-1)
沿周长植树
棵树=总路程÷株距
株距=总路程÷棵树
总路程=株距×棵树
例 沿公路一旁埋电线杆 301 根,每相邻的两根的间距是 50 米 。后来全部改装,只埋了201 根。求改装后每相邻两根的间距。
分析:本题是沿线段埋电线杆,要把电线杆的根数减掉一。列式为 50 ×( 301-1 )÷( 201-1 ) =75 (米)
(11 )盈亏问题:是在等分除法的基础上发展起来的。他的特点是把一定数量的物品,平均分配给一定数量的人,在两次分配中,一次有余,一次不足(或两次都有余),或两次都不足),已知所余和不足的数量,求物品适量和参加分配人数的问题,叫做盈亏问题。
解题关键:盈亏问题的解法要点是先求两次分配中分配者没份所得物品数量的差,再求两次分配中各次共分物品的差(也称总差额),用前一个差去除后一个差,就得到分配者的数,进而再求得物品数。
解题规律:总差额÷每人差额=人数
总差额的求法可以分为以下四种情况:
第一次多余,第二次不足,总差额=多余+ 不足
第一次正好,第二次多余或不足 ,总差额=多余或不足
第一次多余,第二次也多余,总差额=大多余-小多余
第一次不足,第二次也不足, 总差额= 大不足-小不足
例 参加美术小组的同学,每个人分的相同的支数的色笔,如果小组 10 人,则多 25 支,如果小组有 12 人,色笔多余 5 支。求每人 分得几支?共有多少支色铅笔?
分析:每个同学分到的色笔相等。这个活动小组有 12 人,比 10 人多 2 人,而色笔多出了( 25-5 ) =20 支 , 2 个人多出 20 支,一个人分得 10 支。列式为( 25-5 )÷( 12-10 ) =10 (支) 10 × 12+5=125 (支)。
(12)年龄问题:将差为一定值的两个数作为题中的一个条件,这种应用题被称为“年龄问题”。
解题关键:年龄问题与和差、和倍、差倍问题类似,主要特点是随着时间的变化,年岁不断增长,但大小两个不同年龄的差是不会改变的,因此,年龄问题是一种“差不变”的问题,解题时,要善于利用差不变的特点。
例 父亲 48 岁,儿子 21 岁。问几年前父亲的年龄是儿子的 4 倍?
分析:父子的年龄差为 48-21=27 (岁)。由于几年前父亲年龄是儿子的 4 倍,可知父子年龄的倍数差是( 4-1 )倍。这样可以算出几年前父子的年龄,从而可以求出几年前父亲的年龄是儿子的 4 倍。列式为: 21( 48-21 )÷( 4-1 ) =12 (年)
(13)鸡兔问题:已知“鸡兔”的总头数和总腿数。求“鸡”和“兔”各多少只的一类应用题。通常称为“鸡兔问题”又称鸡兔同笼问题
解题关键:解答鸡兔问题一般采用假设法,假设全是一种动物(如全是“鸡”或全是“兔”,然后根据出现的腿数差,可推算出某一种的头数。
解题规律:(总腿数-鸡腿数×总头数)÷一只鸡兔腿数的差=兔子只数
兔子只数=(总腿数-2×总头数)÷2
如果假设全是兔子,可以有下面的式子:
鸡的只数=(4×总头数-总腿数)÷2
兔的头数=总头数-鸡的只数
例 鸡兔同笼共 50 个头, 170 条腿。问鸡兔各有多少只?
兔子只数 ( 170-2 × 50 )÷ 2 =35 (只)
鸡的只数 50-35=15 (只)
(二)分数和百分数的应用
1、分数加减法应用题:
分数加减法的应用题与整数加减法的应用题的结构、数量关系和解题方法基本相同,所不同的只是在已知数或未知数中含有分数。
2、分数乘法应用题:
是指已知一个数,求它的几分之几是多少的应用题。
特征:已知单位“1”的量和分率,求与分率所对应的实际数量。
解题关键:准确判断单位“1”的量。找准要求问题所对应的分率,然后根据一个数乘分数的意义正确列式。
3、分数除法应用题:
求一个数是另一个数的几分之几(或百分之几)是多少。
特征:已知一个数和另一个数,求一个数是另一个数的几分之几或百分之几。“一个数”是比较量,“另一个数”是标准量。求分率或百分率,也就是求他们的倍数关系。
解题关键:从问题入手,搞清把谁看作标准的数也就是把谁看作了“单位一”,谁和单位一的量作比较,谁就作被除数。
甲是乙的几分之几(百分之几):甲是比较量,乙是标准量,用甲除以乙。
甲比乙多(或少)几分之几(百分之几):甲减乙比乙多(或少几分之几)或(百分之几)。关系式(甲数减乙数)/乙数或(甲数减乙数)/甲数。
已知一个数的几分之几(或百分之几 ) ,求这个数。
特征:已知一个实际数量和它相对应的分率,求单位“1”的量。
解题关键:准确判断单位“1”的量把单位“1”的量看成x根据分数乘法的意义列方程,或者根据分数除法的意义列算式,但必须找准和分率相对应的已知实际
数量。
4、出勤率
发芽率=发芽种子数/试验种子数×100%
小麦的出粉率= 面粉的重量/小麦的重量×100%
产品的合格率=合格的产品数/产品总数×100%
职工的出勤率=实际出勤人数/应出勤人数×100%
5、工程问题:
是分数应用题的特例,它与整数的工作问题有着密切的联系。它是探讨工作总量、工作效率和工作时间三个数量之间相互关系的一种应用题。
解题关键:把工作总量看作单位“1”,工作效率就是工作时间的倒数,然后根据题目的具体情况,灵活运用公式。
数量关系式:
工作总量=工作效率×工作时间
工作效率=工作总量÷工作时间
工作时间=工作总量÷工作效率
工作总量÷工作效率和=合作时间
6、纳税
纳税就是把根据国家各种税法的有关规定,按照一定的比率把集体或个人收入的一部分缴纳给国家。
缴纳的税款叫应纳税款。
应纳税额与各种收入的(销售额、营业额、应纳税所得额 ……)的比率叫做税率。
7、利息
存入银行的钱叫做要本金。
取款时银行多支付的钱叫做利息。
利息与本金的比值叫做利率。
利息=本金×利率×时间
常用的数量关系式
1、每份数×份数=总数 总数÷每份数=份数 总数÷份数=每份数
2、1倍数×倍数=几倍数 几倍数÷1倍数=倍数 几倍数÷倍数=1倍数
3、速度×时间=路程 路程÷速度=时间 路程÷时间=速度
4、单价×数量=总价 总价÷单价=数量 总价÷数量=单价
5、工作效率×工作时间=工作总量 工作总量÷工作效率=工作时间 工作总量÷工作时间=工作效率
6、加数+加数=和 和-一个加数=另一个加数
7、被减数-减数=差 被减数-差=减数 差+减数=被减数
8、因数×因数=积 积÷一个因数=另一个因数
9、被除数÷除数=商 被除数÷商=除数 商×除数=被除数
10、总数÷总份数=平均数
11、和差问题的公式
(和+差)÷2=大数 (和-差)÷2=小数
12、和倍问题
和÷(倍数-1)=小数 小数×倍数=大数 (或者 和-小数=大数)
13、差倍问题
差÷(倍数-1)=小数 小数×倍数=大数 (或 小数+差=大数)
14、相遇问题
相遇路程=速度和×相遇时间
相遇时间=相遇路程÷速度和
速度和=相遇路程÷相遇时间
15、浓度问题
溶质的重量+溶剂的重量=溶液的重量
溶质的重量÷溶液的重量×100%=浓度
溶液的重量×浓度=溶质的重量
溶质的重量÷浓度=溶液的重量
16、利润与折扣问题
利润=售出价-成本
利润率=利润÷成本×100%=(售出价÷成本-1)×100%
涨跌金额=本金×涨跌百分比
利息=本金×利率×时间
税后利息=本金×利率×时间×(1-20%)
第二章 度量衡
一、概述
1、事物的多少、长短、大小、轻重、快慢等,这些可以测定的客观事物的特征叫做量。把一个要测定的量同一个作为标准的量相比较叫做计量。用来作为计量标准的量叫做计量单位。
2、数+单位名称=名数
只带有一个单位名称的叫做单名数,如:5小时, 3千克。
带有两个或两个以上单位名称的叫做复名数,如:5小时6分,3千克500克。
56平方分米=(0.56)平方米 就是单名数转化成单名数 。
560平方分米=(5)平方米(60平方分米) 就是单名数转化成复名数的例子。
3、高级单位与低级单位是相对的.比如,”米”相对于分米,就是高级单位,相对于千米就是低级单位.
二、长度
1、什么是长度
长度是一维空间的度量。
2、长度常用单位
* 公里(km) * 米(m) * 分米(dm) * 厘米(cm) * 毫米(mm) * 微米(um)
3、单位之间的换算
* 1毫米 =1000微米 * 1厘米 =10 毫米 * 1分米 =10 厘米 * 1米 =1000 毫米 * 1千米=1000 米
三、面积
1、什么是面积
面积,就是物体所占平面的大小。对立体物体的表面的多少的测量一般称表面积。
2、常用的面积单位
* 平方毫米 * 平方厘米 * 平方分米 * 平方米 * 平方千米
3、面积单位的换算
* 1平方厘米 =100 平方毫米 * 1平方分米=100平方厘米 * 1平方米 =100 平方分米 * 1公倾 =10000 平方米 * 1平方公里 =100 公顷
四、体积和容积
1、什么是体积、容积
① 体积,就是物体所占空间的大小。
② 容积,箱子、油桶、仓库等所能容纳物体的体积,通常叫做它们的容积。
2、常用单位
① 体积单位:* 立方米 * 立方分米 * 立方厘米
② 容积单位:* 升 * 毫升
3、单位换算
① 体积单位
* 1立方米=1000立方分米 * 1立方分米=1000立方厘米
① 容积单位
* 1升=1000毫升 * 1升=1立方米 * 1毫升=1立方厘米
五、质量
1、什么是质量 质量,就是表示表示物体有多重。
2、常用单位 * 吨 t * 千克 kg * 克 g
3、常用换算 * 一吨=1000千克 * 1千克=1000克
六、时间
1、什么是时间 是指有起点和终点的一段时间
2、常用单位 世纪、 年 、 月 、 日 、 时 、 分、 秒
3、单位换算
* 1世纪=100年(公元1年—100年是第一世纪,公元1901—2000是第二十世纪)
* 平年一年365天,闰年一年366天。
* 1年12个月(一、三、五、七、八、十、十二是大月,大月有31 天 ; 四、六、九、十一是小月小月,小月有30天;平年2月有28天 闰年2月有29天)
*闰年年份是4的倍数,整百年份须是400的倍数。
* 1天= 24小时 1小时=60分 一分=60秒
七、货币
1、什么是货币
货币是充当一切商品的等价物的特殊商品。货币是价值的一般代表,可以购买任何别的商品。
2、常用单位 * 元 * 角 * 分
3、单位换算 * 1元=10角 * 1角=10分
常用单位换算
1、长度单位换算
1千米=1000米 1米=10分米 1分米=10厘米 1米=100厘米 1厘米=10毫米
2、面积单位换算
1平方千米=100公顷 1公顷=10000平方米 1平方米=100平方分米
1平方分米=100平方厘米 1平方厘米=100平方毫米
3、体(容)积单位换算
1立方米=1000立方分米 1立方分米=1000立方厘米 1立方分米=1升
1立方厘米=1毫升 1立方米=1000升
4、重量单位换算
1吨=1000 千克 1千克=1000克 1千克=1公斤
5、人民币单位换算
1元=10角 1角=10分 1元=100分
6、时间单位换算
1世纪=100年 1年=12月 大月(31天)有:1\3\5\7\8\10\12月 小月(30天)的有:4\6\9\11月
平年2月28天, 闰年2月29天 平年全年365天, 闰年全年366天 1日=24小时
1时=60分 1分=60秒 1时=3600秒
第三章 代数初步知识
一、用字母表示数
1、用字母表示数的意义和作用
用字母表示数,可以把数量关系简明的表达出来,同时也可以表示运算的结果。
用字母表示数是代数的基本特点。既简单明了,又能表达数量关系的一般规律。
2、用字母表示常见的数量关系、运算定律和性质、几何形体的计算公式
⑴ 常见的数量关系
① 路程用s表示,速度v用表示,时间用t表示,三者之间的关系:
s=vt v=s/t t=s/v
② 总价用a表示,单价用b表示,数量用c表示,三者之间的关系:
a=bc b=a/c c=a/b
⑵ 运算定律和性质
加法交换律:a+b=b+a
加法结合律:(a+b)+c=a+(b+c)
乘法交换律:ab=ba
乘法结合律:(ab)c=a(bc)
乘法分配律:(a+b)c=ac+bc
减法的性质:a-(b+c) =a-b-c
⑶ 用字母表示几何形体的公式
① 长方形的长用a表示,宽用b表示,周长用c表示,面积用s表示。
c=2(a+b) s=ab
② 正方形的边长a用表示,周长用c表示,面积用s表示。
c=4a s=a²
③ 平行四边形的底a用表示,高用h表示,面积用s表示。
s=ah
④ 三角形的底用a表示,高用h表示,面积用s表示。
s=ah/2
⑤ 梯形的上底用a表示,下底b用表示,高用h表示,中位线用m表示,面积用s表示。
s=(a+b)h/2 s=mh
⑥ 圆的半径用r表示,直径用d表示,周长用c表示,面积用s表示。
c=∏d=2∏r s=∏ r²
⑦ 扇形的半径用r表示,n表示圆心角的度数,面积用s表示。
s=∏ nr²/360
⑧ 长方体的长用a表示,宽用b表示,高用h表示,表面积用s表示,体积用v表示。
v=sh s=2(ab+ah+bh) v=abh
⑨ 正方体的棱长用a表示,底面周长c用表示,底面积用s表示, 体积用v表示.
s=6a² v=a³
⑩ 圆柱的高用h表示,底面周长用c表示,底面积用s表示, 体积用v表示.
s侧=ch
s表=s侧+2s底 v=sh
⑪ 圆锥的高用h表示,底面积用s表示, 体积用v表示.
v=sh/3
3、用字母表示数的写法
① 数字和字母、字母和字母相乘时,乘号可以记作“.”,或者省略不写;数与数相乘,乘号不能省略。
② 当“1”与任何字母相乘时,“1”省略不写。
③ 数字和字母相乘时,将数字写在字母前面。
④ 在一个问题中,同一个字母表示同一个量,不同的量用不同的字母表示。
⑤ 用含有字母的式子表示问题的答案时,除数一般写成分母,如果式子中有加号或者减号,要先用括号把含字母的式子括起来,再在括号后面写上单位的名称。
4、将数值代入式子求值
① 把具体的数代入式子求值时,要注意书写格式:先写出字母等于几,然后写出原式,再把数代入式子求值。字母表示的是数,后面不写单位名称。
② 同一个式子,式子中所含字母取不同的数值,那么所求出的式子的值也不相同。
二、简易方程
1、等式:表示相等关系的式子叫等式。
2、方程:含有未知数的等式叫做方程。
判断一个式子是不是方程应具备两个条件:一是含有未知数;二是等式。所以,方程一定是等式,但等式不一定是方程。
方程和算术式不同。算术式是一个式子,它由运算符号和已知数组成,它表示未知数。方程是一个等式,在方程里的未知数可以参加运算,并且只有当未知数为特定的数值时,方程才成立 。
3、方程的解:使方程左右两边相等的未知数的值,叫做方程的解。
4、解方程 :求方程的解的过程叫做解方程。
5、解方程的方法
⑴ 直接运用四则运算中各部分之间的关系去解。如x-8=12
加数+加数=和 一个加数=和-另一个加数
被减数-减数=差 减数=被减数-差 被减数=差+减数
被乘数×乘数=积 一个因数=积÷另一个因数
被除数÷除数=商 除数=被除数÷商 被除数=除数×商
⑵ 先把含有未知数x的项看作一个数,然后再解。如3x+20=41,先把3x看作一个数,然后再解。
⑶ 按四则运算顺序先计算,使方程变形,然后再解。如2.5×4-x=4.2,要先求出2.5×4的积,使方程变形为10-x=4.2,然后再解。
⑷ 利用运算定律或性质,使方程变形,然后再解。如:2.2x+7.8x=20,先利用运算定律或性质使方程变形为(2.2+7.8)x=20,然后计算括号里面使方程变形为10x=20,最后再解。
四、列方程解应用题
在列方程解文字题时,如果题中要求的未知数已经用字母表示,解答时就不需要写设,否则首先应将所求的未知数设为x。
1、列方程解应用题的意义
* 用方程式去解答应用题求得应用题的未知量的方法。
2、列方程解答应用题的步骤
① 弄清题意,确定未知数并用x表示;
② 找出题中的数量之间的相等关系;
③ 列方程,解方程;
④ 检查或验算,写出答案。
3、列方程解应用题的方法
① 综合法:先把应用题中已知数(量)和所设未知数(量)列成有关的代数式,再找出它们之间的等量关系,进而列出方程。这是从部分到整体的一种思维过程,其思考方向是从已知到未知。
② 分析法:先找出等量关系,再根据具体建立等量关系的需要,把应用题中已知数(量)和所设的未知数(量)列成有关的代数式进而列出方程。这是从整体到部分的一种思维过程,其思考方向是从未知到已知。
4、列方程解应用题的范围
小学范围内常用方程解的应用题:
a一般应用题;
b和倍、差倍问题;
c几何形体的周长、面积、体积计算;
d 分数、百分数应用题;
e 比和比例应用题。
五、比和比例
1、比的意义和性质
⑴ 比的意义
两个数相除又叫做两个数的比。
“:”是比号,读作“比”。比号前面的数叫做比的前项,比号后面的数叫做比的后项。比的前项除以后项所得的商,叫做比值。
同除法比较,比的前项相当于被除数,后项相当于除数,比值相当于商。
比值通常用分数表示,也可以用小数表示,有时也可能是整数。
比的后项不能是零。
根据分数与除法的关系,可知比的前项相当于分子,后项相当于分母,比值相当于分数值。
⑵ 比的性质
比的前项和后项同时乘上或者除以相同的数(0除外),比值不变,这叫做比的基本性质。
⑶ 求比值和化简比
求比值的方法:用比的前项除以后项,它的结果是一个数值可以是整数,也可以是小数或分数。
根据比的基本性质可以把比化成最简单的整数比。它的结果必须是一个最简比,即前、后项是互质的数。
⑷ 比例尺
图上距离:实际距离=比例尺
要求会求比例尺;已知图上距离和比例尺求实际距离;已知实际距离和比例尺求图上距离。
线段比例尺:在图上附有一条注有数目的线段,用来表示和地面上相对应的实际距离。
⑸ 按比例分配
在农业生产和日常生活中,常常需要把一个数量按照一定的比来进行分配。这种分配的方法通常叫做按比例分配。
方法:首先求出各部分占总量的几分之几,然后求出总数的几分之几是多少。
2、比例的意义和性质
⑴ 比例的意义
表示两个比相等的式子叫做比例。
组成比例的四个数,叫做比例的项。
两端的两项叫做外项,中间的两项叫做内项。
⑵ 比例的性质
在比例里,两个外项的积等于两个两个内向的积。这叫做比例的基本性质。
⑶ 解比例
根据比例的基本性质,如果已知比例中的任何三项,就可以求出这个数比例中的另外一个未知项。求比例中的未知项,叫做解比例。
3、正比例和反比例
⑴ 成正比例的量
两种相关联的量,一种量变化,另一种量也随着变化,如果这两种量中相对应的两个数的比值(也就是商)一定,这两种量就叫做成正比例的量,他们的关系叫做正比例关系。
用字母表示y/x=k(一定)
⑵ 成反比例的量
两种相关联的量,一种量变化,另一种量也随着变化,如果这两种量中相对应的两个数的积一定,这两种量就叫做成反比例的量,他们的关系叫做反比例关系。
用字母表示x×y=k(一定)
4、比和比例应用题
⑴ 在工业生产和日常生活中,常常要把一个数量按照一定的比例来进行分配,这种分配方法通常叫“按比例分配”。
⑵ 按比例分配的有关习题,在解答时,要善于找准分配的总量和分配的比,然后把分配的比转化成分数或份数来进行解答
⑶ 正、反比例应用题的解题策略
① 审题,找出题中相关联的两个量
② 分析,判断题中相关联的两个量是成正比例关系还是成反比例关系。
③ 设未知数,列比例式
④ 解比例式
⑤ 检验,写答语
第四章 几何的初步知识
一、线和角
1、线
⑴ 直线
直线没有端点;长度无限;过一点可以画无数条,过两点只能画一条直线。
⑵ 射线
射线只有一个端点;长度无限。
⑶ 线段
线段有两个端点,它是直线的一部分;长度有限;两点的连线中,线段为最短。
⑷ 平行线
在同一平面内,不相交的两条直线叫做平行线。
两条平行线之间的垂线长度都相等。
⑸ 垂线
两条直线相交成直角时,这两条直线叫做互相垂直,其中一条直线叫做另一条直线的垂线,相交的点叫做垂足。
从直线外一点到这条直线所画的垂线的长叫做这点到直线的距离。
2、角
⑴ 从一点引出两条射线,所组成的图形叫做角。这个点叫做角的顶点,这两条射线叫做角的边。
⑵ 角的分类
① 锐角:小于90°的角叫做锐角。
② 直角:等于90°的角叫做直角。
③ 钝角:大于90°而小于180°的角叫做钝角。
④ 平角:角的两边成一条直线,这时所组成的角叫做平角。平角180°。
⑤ 周角:角的一边旋转一周,与另一边重合。周角是360°。
二、平面图形
1、三角形
⑴ 特征:由三条线段围成的图形;内角和是180度;三角形具有稳定性;从三角形的一个顶点到它的对边作一条垂线,顶点和垂足之间的线段叫做三角形的高,一个三角形有三条高。
⑵ 计算公式:s=ah/2
⑶ 分类
① 按角分
A、锐角三角形 :三个角都是锐角。
B、直角三角形 :有一个角是直角。等腰三角形的两个锐角各为45度,它有一条对称轴。
C、钝角三角形:有一个角是钝角。
② 按边分
A、不等边三角形:三条边长度不相等。
B、等腰三角形:有两条边长度相等;两个底角相等;有一条对称轴。
C、等边三角形:三条边长度都相等;三个内角都是60度;有三条对称轴。
2、四边形
⑴ 特征:
① 四边形是由四条线段围成的图形。
② 任意四边形的内角和是360度。
③ 只有一组对边平行的四边形叫梯形。
④ 两组对边分别平行的四边形叫平行四边形,它容易变形。长方形、正方形是特殊的平行四边形;正方形是特殊的长方形。
⑵分类
① 长方形
A、特征:对边相等,4个角都是直角的四边形。有两条对称轴。
B、计算公式:c=2(a+b) s=ab
② 正方形
A、特征:四条边都相等,四个角都是直角的四边形。有4条对称轴。
B、计算公式:c=4a s=a²
③ 平行四边形
A、特征:两组对边分别平行的四边形;相对的边平行且相等;对角相等;相邻的两个角的度数之和为180度;平行四边形容易变形。
B、计算公式:s=ah
④ 梯形
A、特征:只有一组对边平行的四边形;中位线等于上下底和的一半;等腰梯形有一条对称轴。
B、计算公式:s=(a+b)h/2=mh
3、圆
⑴ 圆的认识
圆是平面上的一种曲线图形。
圆中心的一点叫做圆心。一般用字母o表示。
半径:连接圆心和圆上任意一点的线段叫做半径。一般用r表示。
在同一个圆里,有无数条半径,每条半径的长度都相等。
通过圆心并且两端都在圆上的线段叫做直径。一般用d表示。
同一个圆里有无数条直径,所有的直径都相等。同圆或等圆的直径都相等
同一个圆里,直径等于两个半径的长度,即d=2r。
圆的大小由半径决定。 圆有无数条对称轴。
圆心确定圆的位置,半径确定圆的大小。
⑵ 圆的画法
把圆规的两脚分开,定好两脚间的距离(即半径);
把有针尖的一只脚固定在一点(即圆心)上;
把装有铅笔尖的一只脚旋转一周,就画出一个圆。
⑶ 圆的周长
围成圆的曲线的长叫做圆的周长。
把圆的周长和直径的比值叫做圆周率。用字母∏表示。
⑷ 圆的面积:圆所占平面的大小叫做圆的面积。
⑸ 计算公式:d=2r r=d/2 c=∏d c=2∏r s=∏r²
4、扇形
⑴ 扇形的认识
一条弧和经过这条弧两端的两条半径所围成的图形叫做扇形。(半圆与直径的组合也是扇形)。显然, 它是由圆周的一部分与它所对应的圆心角围成。
圆上AB两点之间的部分叫做弧,读作“弧AB”。
顶点在圆心的角叫做圆心角。
在同一个圆中,扇形的大小与这个扇形的圆心角的大小有关。
扇形有一条对称轴,是轴对称图形。
⑵ 计算公式:s=n∏r²/360
5、环形
⑴特征:由两个半径不相等的同心圆相减而成,有无数条对称轴。
⑵ 计算公式:s=∏(R²-r²)
6、轴对称图形
⑴ 特征
① 如果一个图形沿着一条直线对折,两侧的图形能够完全重合,这个图形就是轴对称图形。折痕所在的这条直线叫做对称轴。
② 线段、角、等腰三角形、长方形、正方形等都是轴对称图形,他们的对称轴条数不等:
正方形有4条对称轴, 长方形有2条对称轴。
等腰三角形有2条对称轴,等边三角形有3条对称轴。
等腰梯形有一条对称轴,圆有无数条对称轴。
菱形有4条对称轴,扇形有一条对称轴。
三、立体图形
(一)长方体
1、特征
六个面都是长方形(有时有两个相对的面是正方形)。
相对的面面积相等,12条棱相对的4条棱长度相等。
有8个顶点。
相交于一个顶点的三条棱的长度分别叫做长、宽、高。
两个面相交的边叫做棱。
三条棱相交的点叫做顶点。
把长方体放在桌面上,最多只能看到三个面。
长方体或者正方体6个面的总面积,叫做它的表面积。
2、计算公式:s=2(ab+ah+bh) V=sh V=abh
(二)正方体
1、特征
六个面都是正方形
六个面的面积相等
12条棱,棱长都相等
有8个顶点
正方体可以看作特殊的长方体
2、计算公式:S表=6a² v=a³
(三)圆柱
1、圆柱的认识
圆柱的上下两个面叫做底面。
圆柱有一个曲面叫做侧面。
圆柱两个底面之间的距离叫做高 。
进一法:实际中,使用的材料都要比计算的结果多一些,因此,要保留数的时候,省略的位上的是4或者比4小,都要向前一位进1。这种取近似值的方法叫做进一法。
2、计算公式:s侧=ch s表=s侧+s底×2 v=sh/3
(四)圆锥
1、圆锥的认识
圆锥的底面是个圆,圆锥的侧面是个曲面。
从圆锥的顶点到底面圆心的距离是圆锥的高。
测量圆锥的高:先把圆锥的底面放平,用一块平板水平地放在圆锥的顶点上面,竖直地量出平板和底面之间的距离。
把圆锥的侧面展开得到一个扇形。
2、计算公式:v= sh/3
(五)球
1、认识
球的表面是一个曲面,这个曲面叫做球面。
球和圆类似,也有一个球心,用O表示。
从球心到球面上任意一点的线段叫做球的半径,用r表示,每条半径都相等。
通过球心并且两端都在球面上的线段,叫做球的直径,用d表示,每条直径都相等,直径的长度等于半径的2倍,即d=2r。
2、计算公式:d=2r
四、周长和面积
1、平面图形一周的长度叫做周长。
2、平面图形或物体表面的大小叫做面积。
3、常见图形的周长和面积计算公式
小学数学图形计算公式
1、正方形 (C:周长 S:面积 a:边长)
周长=边长×4 C=4a
面积=边长×边长 S=a×a
2、正方体 (V:体积 a:棱长 )
表面积=棱长×棱长×6 S表=a×a×6
体积=棱长×棱长×棱长 V=a×a×a
3、长方形( C:周长 S:面积 a:边长)
周长=(长+宽)×2 C=2(a+b)
面积=长×宽 S=ab
4、长方体 (V:体积 s:面积 a:长 b: 宽 h:高)
(1)表面积(长×宽+长×高+宽×高)×2 S=2(ab+ah+bh)
(2)体积=长×宽×高 V=abh
5、三角形 (s:面积 a:底 h:高)
面积=底×高÷2 s=ah÷2
三角形高=面积 ×2÷底 三角形底=面积 ×2÷高
6、平行四边形 (s:面积 a:底 h:高)
面积=底×高 s=ah
7、梯形 (s:面积 a:上底 b:下底 h:高)
面积=(上底+下底)×高÷2 s=(a+b)× h÷2
8、圆形 (S:面积 C:周长 л d=直径 r=半径)
(1)周长=直径×л=2×л×半径 C=лd=2лr
(2)面积=半径×半径×л
9、圆柱体 (v:体积 h:高 s:底面积 r:底面半径 c:底面周长)
(1)侧面积=底面周长×高=ch(2лr或лd)
(2)表面积=侧面积+底面积×2
(3)体积=底面积×高
(4)体积=侧面积÷2×半径
10、圆锥体 (v:体积 h:高 s:底面积 r:底面半径)
体积=底面积×高÷3
第五章 简单的统计
一、统计表
(一)意义
* 把统计数据填写在一定格式的表格内,用来反映情况、说明问题,这样的表格就叫做统计表。
(二)组成部分
* 一般分为表格外和表格内两部分。表格外部分包括标的名称,单位说明和制表日期;表格内部包括表头、横标目、纵标目和数据四个方面。
(三)种类
* 单式统计表:只含有一个项目的统计表。
* 复式统计表:含有两个或两个以上统计项目的统计表。
* 百分数统计表:不仅表明各统计项目的具体数量,而且表明比较量相当于标准量的百分比的统计表。
(四)制作步骤
1、搜集数据
2、整理数据:
要根据制表的目的和统计的内容,对数据进行分类。
3、设计草表:
要根据统计的目的和内容设计分栏格内容、分栏格画法,规定横栏、竖栏各需几格,每格长度。
4、正式制表:
把核对过的数据填入表中,并根据制表要求,用简单、明确的语言写上统计表的名称和制表日期。
二、统计图
(一)意义
* 用点线面积等来表示相关的量之间的数量关系的图形叫做统计图。
(二)分类
1、条形统计图
用一个单位长度表示一定的数量,根据数量的多少画成长短不同的直条,然后把这些直线按照一定的顺序排列起来。
答:可以,馒头中也含有淀粉,淀粉在咀嚼的过程中发生了变化,变得有甜味了。优点:很容易看出各种数量的多少。
17、大熊座的明显标志就是我们熟悉的由七颗亮星组成的北斗七星,注意:画条形统计图时,直条的宽窄必须相同。
取一个单位长度表示数量的多少要根据具体情况而确定;
1、说说你身边物质变化的例子。复式条形统计图中表示不同项目的直条,要用不同的线条或颜色区别开,并在制图日期下面注明图例。
制作条形统计图的一般步骤:
(1)根据图纸的大小,画出两条互相垂直的射线。
(2)在水平射线上,适当分配条形的位置,确定直线的宽度和间隔。
(3)在与水平射线垂直的深线上根据数据大小的具体情况,确定单位长度表示多少。
8、我们把铁钉一半浸在水里,一半暴露在空气中,过几天我们发现铁钉在空气中的部分已经生锈,在水中的部分没有生锈。通过实验,我们得出铁生锈与空气有关。(4)按照数据的大小画出长短不同的直条,并注明数量。
2、折线统计图
用一个单位长度表示一定的数量,根据数量的多少描出各点,然后把各点用线段顺次连接起来。
答:硫酸铜溶液的颜色逐渐变浅,取出铁钉后,发现浸入硫酸铜溶液中的那部分变红了。优点:不但可以表示数量的多少,而且能够清楚地表示出数量增减变化的情况。
注意:折线统计图的横轴表示不同的年份、月份等时间时,不同时间之间的距离要根据年份或月份的间隔来确定。
制作折线统计图的一般步骤:
答:可以,馒头中也含有淀粉,淀粉在咀嚼的过程中发生了变化,变得有甜味了。(1)根据图纸的大小,画出两条互相垂直的射线。
(2)在水平射线上,适当分配折线的位置,确定直线的宽度和间隔。
第一单元 微小世界(3)在与水平射线垂直的深线上根据数据大小的具体情况,确定单位长度表示多少。
(4)按照数据的大小描出各点,再用线段顺次连接起来,并注明数量。
3、扇形统计图
用整个圆的面积表示总数,用扇形面积表示各部分所占总数的百分数。
7、月球的明亮部分,上半月朝西,下半月朝东。优点:很清楚地表示出各部分同总数之间的关系。
制扇形统计图的一般步骤:
(1)先算出各部分数量占总量的百分之几。
3、你知道月食的形成过程吗?
(2)再算出表示各部分数量的扇形的圆心角度数。
(3)取适当的半径画一个圆,并按照上面算出的圆心角的度数,在圆里画出各个扇形。
11、显微镜的发明,是人类认识世界的一大飞跃,把有类带入了一个崭新的微观世界。为了看到更小的物体,人们又研制出了电子显微镜和扫描隧道显微镜。电子显微镜可把物体放大到200万倍。
(4)在每个扇形中标明所表示的各部分数量名称和所占的百分数,并用不同颜色或条纹把各个扇形区别开。
小学数学重点知识梳理
⼀年级的知识重点
1数与计算
(1)20以内数的认识,加法和减法。
数数。数的组成、顺序、⼤⼩、读法和写法。加法和减法。连加、连减和加减混合式题
(2)100以内数的认识。
加法和减法。数数。个位、⼗位。数的顺序、⼤⼩、读法和写法。
两位数加、减整⼗数和两位数加、减⼀位数的⼝算。两步计算的加减式题。
2量与计量
钟⾯的认识(整时)。⼈民币的认识和简单计算。
3⼏何初步知识
长⽅体、正⽅体、圆柱和球的直观认识。
长⽅形、正⽅形、三⾓形和圆的直观认识。
4应⽤题
⽐较容易的加法、减法⼀步计算的应⽤题。多和少的应⽤题(抓有效信息的能⼒)
5实践活动
选择与⽣活密切联系的内容。例如根据本班男、⼥⽣⼈数,每组⼈数分布情况,想到哪些数学问题。
⼆年级的知识重点
1数与计算
(1)两位数加、减两位数。两位数加、减两位数。加、减法竖式。两步计算的加减式题。
(2)表内乘法和表内除法。乘法的初步认识。乘法⼝诀。乘法竖式。除法的初步认识。⽤乘法⼝诀求商。除法竖式。有余数除法。两步计算的式题。
(3)万以内数的读法和写法。数数。百位、千位、万位。数的读法、写法和⼤⼩⽐较。
(4)加法和减法。加法,减法。连加法。加法验算,⽤加法验算减法。
(5)混合运算。先乘除后加减。两步计算式题。⼩括号。
2量与计量
时、分、秒的认识。
⽶、分⽶、厘⽶的认识和简单计算。
千克(公⽄)的认识。
3⼏何初步知识
直线和线段的初步认识。⾓的初步认识。直⾓。
4应⽤题
加法和减法⼀步计算的应⽤题。乘法和除法⼀步计算的应⽤题。⽐较容易的两步计算的应⽤题。
5实践活动
与⽣活密切联系的内容。例如调查家中本周各项消费的开⽀情况,想到哪些数学问题。
三年级的知识重点
1数与计算
(1)⼀位数的乘、除法。
⼀个乘数是⼀位数的乘法(另⼀个乘数⼀般不超过三位数)。0的乘法。连乘。除数是⼀位数的除法。0除以⼀个数。⽤乘法验算除法。连除。
(2)两位数的乘、除法。
⼀个乘数是两位数的乘法(另⼀个乘数⼀般不超过三位数)。乘数末尾有0的简便算法。乘法验算。除数是两位数的除法。连乘、连除的简便算法。
(3)四则混合运算。
两步计算的式题。⼩括号的使⽤。
(4)分数的初步认识。
分数的初步认识,读法和写法。看图⽐较分数的⼤⼩。简单的同分母分数加、减法。
2量与计量
千⽶(公⾥)、毫⽶的认识和简单计算。吨、克的认识和简单计算。
3⼏何初步知识
长⽅形和正⽅形的特征。长⽅形和正⽅形的周长。平⾏四边形的直观认识。周长的含义。长⽅形、正⽅形的周长。
4应⽤题常见的数量关系。
解答两步计算的应⽤题。
5实践活动
联系周围接触到的事物组织活动。例如记录10天内的天⽓情况,分类整理,并作简单分析。
四年级的知识重点
1数与计算
(1)亿以内数的读法和写法。
计数单位“⼗万”、“百万”、“千万”。相邻计数单位间的⼗进关系。读法和写法。数的⼤⼩⽐较。以万作单位的近似数。
(2)加法和减法。
加法,减法。
接近整⼗、整百数的加、减法的简便算法。
加、减法算式中各部分之间的关系。求未知数x。
(3)乘、除数是三位数的乘、除法。
乘数是三位数的乘法。积的变化。除数是三位数的除法。商不变的性质。被除数和除数末尾有0的简便算法。
乘、除计算的简单估算。
乘数接近整⼗、整百的简便算法。
乘、除法算式中各部分之间的关系。求未知数x。
(4)四则混合运算。
中括号。三步计算的式题。
(5)整数及其四则运算的关系和运算定律。
⾃然数与整数。⼗进制计数法。读法和写法。
四则运算的意义。加法与减法、乘法与除法之间的关系。整除和有余数的除法。
运算定律。简便运算。
(6)⼩数的意义、性质,加法和减法。
⼩数的意义、性质。⼩数⼤⼩的⽐较。⼩数点移位引起⼩数⼤⼩的变化。⼩数的近似值加法和减法。加法运算定律推⼴到⼩数。
2量与计量
年、⽉、⽇。平年、闰年。世纪。24时计时法。
⾓的度量。
⾯积单位。
3⼏何初步知识
直线的测定。测量距离(⼯具测、步测、⽬测)。
射线。直⾓、锐⾓、钝⾓、平⾓、_周⾓。垂线。画垂线。平⾏线。画平⾏线。
三⾓形的特征。
三⾓形的内⾓和。
4统计初步知识
简单数据整理。简单统计图表的初步认识。平均数的意义。求简单的平均数。
5应⽤题列综合算式
解答⽐较容易的三步计算的应⽤题。
五年级的知识重点
1计算
⼩数乘法,⼩数除法,简易⽅程,观察物体,多边形的⾯积,统计与可能性,数学⼴⾓和数学综合运⽤等。
在前⾯学习整数四则运算和⼩数加、减法的基础上,继续培养学⽣⼩数的四则运算能⼒。
2⽅程
⽤字母表⽰数、等式的性质、解简单的⽅程、⽤⽅程表⽰等量关系进⽽解决简单的实际问题等内容,进⼀步发展学⽣的抽象思维能⼒,提⾼解决问题的能⼒。
3空间与物体
在空间与图形⽅⾯,这⼀册教材安排了观察物体和多边形的⾯积两个单元。在已有知识和经验的基础上,通过丰富的现实的数学活动,让学⽣获得探究学习的经历,能辨认从不同⽅位看到的物体的形状和相对位置。
4图形的转换
探索并体会各种图形的特征、图形之间的关系,及图形之间的转化,掌握平⾏四边形、三⾓形、梯形的⾯积公式及公式之间的关系,渗透平移、旋转、转化的数学思想⽅法,促进学⽣空间观念的进⼀步发展。
5统计与概率
教材让学⽣学习有关可能性和中位数的知识。通过操作与实验,让学⽣体验事件发⽣的等可能性以及游戏规则的公平性,学会求⼀些事件发⽣的可能性。
6平均数
理解平均数和中位数各⾃的统计意义、各⾃的特征和适⽤范围;进⼀步体会统计和概率在现实⽣活中的作⽤。
7实际应⽤
通过观察、猜测、实验、推理等活动向学⽣渗透初步的数字编码的数学思想⽅法,体会运⽤数字的有规律排列可以使⼈与⼈之间的信息交换变得安全、有序、快捷,给⼈们的⽣活和⼯作带来便利,感受数学的魅⼒。
六年级的知识重点
1数与计算
(1)分数的乘法和除法,分数乘法的意义,分数乘法,乘法的运算定律推⼴到分数,倒数,分数除法的意义,分数除法。
(2)分数四则混合运算,分数四则混合运算。
(3)百分数,百分数的意义和写法,百分数和分数、⼩数的互化。
2⽐和⽐例
⽐的意义和性质,⽐例的意义和基本性质,解⽐例,成正⽐例的量和成反⽐例的量。
3⼏何初步知识
圆的认识,圆周率,画圆,圆的周长和⾯积,扇形的认识,轴对称图形的初步认识,圆柱的认识,圆柱的表⾯积和体积,圆锥的认识,圆锥的体积,球和球的半径、直径的初步认识。
4统计初步知识
统计表,条形统计图,折线统计图,扇形统计图。
5应⽤题
分数四则应⽤题(包括⼯程问题),百分数的实际应⽤(包括发芽率、合格率、利率、税率等的计算),⽐例尺,按⽐例分配。
6实践活动
联系学⽣所接触到的社会情况组织活动,例如就家中的卧室,画⼀个平⾯图。
小学数学思维训练题及解析
1.765×213÷27+765×327÷27
解:原式=765÷27×(213+327)= 765÷27×540=765×20=15300
2.(9999+9997+…+9001)-(1+3+ (999)
解:原式=(9999-999)+(9997-997)+(9995-995)+……
+(9001-1)
=9000+9000+…….+9000 (500个9000)
=4500000
3.19981999×19991998-19981998×19991999
解:(19981998+1)×19991998-19981998×19991999 =19981998×19991998-19981998×19991999+19991998
=19991998-19981998
=10000
4.(873×477-198)÷(476×874+199)
解:873×477-198=476×874+199
因此原式=1
5.2000×1999-1999×1998+1998×1997-1997×1996+…+2×1解:原式=1999×(2000-1998)+1997×(1998-1996)+…
+3×(4-2)+2×1
=(1999+1997+…+3+1)×2=2000000。
6.297+293+289+…+209
解:(209+297)*23/2=5819
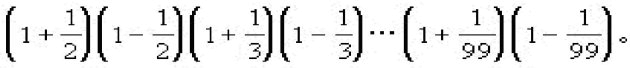
7.计算:

解:原式=(3/2)*(4/3)*(5/4)*…
*(100/99)*(1/2)*(2/3)*(3/4)*…*(98/99)
=50*(1/99)=50/99

8.
解:原式=(1*2*3)/(2*3*4)=1/4
9. 有7个数,它们的平均数是18。去掉一个数后,剩下6个数的平均数是19;再去掉一个数后,剩下的5个数的平均数是20。求去掉的两个数的乘积。
解:7*18-6*19=126-114=12
6*19-5*20=114-100=14
去掉的两个数是12和14它们的乘积是12*14=168
10. 有七个排成一列的数,它们的平均数是30,前三个数的平均数是
28,后五个数的平均数是33。求第三个数。
解:28×3+33×5-30×7=39。
11. 有两组数,第一组9个数的和是63,第二组的平均数是11,两个组
中所有数的平均数是8。问:第二组有多少个数?
解:设第二组有x个数,则63+11x=8×(9+x),解得x=3。
12.小明参加了六次测验,第三、第四次的平均分比前两次的平均分多2分,比后两次的平均分少2分。如果后三次平均分比前三次平均分多3分,那么第四次比第三次多得几分?
解:第三、四次的成绩和比前两次的成绩和多4分,比后两次的成绩和少4分,推知后两次的成绩和比前两次的成绩和多8分。因为后三次的成绩和比前三次的成绩和多9分,所以第四次比第三次多9-8=1(分)。
13. 妈妈每4天要去一次副食商店,每5天要去一次百货商店。妈妈平均每星期去这两个商店几次?(用小数表示)
解:每20天去9次,9÷20×7=3.15(次)。
14. 乙、丙两数的平均数与甲数之比是13∶7,求甲、乙、丙三数的平均数与甲数之比。
解:以甲数为7份,则乙、丙两数共13×2=26(份)
所以甲乙丙的平均数是(26+7)/3=11(份)
因此甲乙丙三数的平均数与甲数之比是11:7。
15. 五年级同学参加校办工厂糊纸盒劳动,平均每人糊了76个。已知每人至少糊了70个,并且其中有一个同学糊了88个,如果不把这个同学计算在内,那么平均每人糊74个。糊得最快的同学最多糊了多少个?
解:当把糊了88个纸盒的同学计算在内时,因为他比其余同学的平均数多88-74=14(个),而使大家的平均数增加了76-74=2(个),说明总人数是14÷2=7(人)。因此糊得最快的同学最多糊了
74×6-70×5=94(个)。
16. 甲、乙两班进行越野行军比赛,甲班以4.5千米/时的速度走了路程的一半,又以5.5千米/时的速度走完了另一半;乙班在比赛过程中,一半时间以4.5千米/时的速度行进,另一半时间以5.5千米/时的速度行进。问:甲、乙两班谁将获胜?
解:快速行走的路程越长,所用时间越短。甲班快、慢速行走的路程相同,乙班快速行走的路程比慢速行走的路程长,所以乙班获胜。
17. 轮船从A城到B城需行3天,而从B城到A城需行4天。从A城放一个无动力的木筏,它漂到B城需多少天?
解:轮船顺流用3天,逆流用4天,说明轮船在静水中行4-3=1(天),等于水流3+4=7(天),即船速是流速的7倍。所以轮船顺流行3天的路程等于水流3+3×7=24(天)的路程,即木筏从A城漂到B城需24天。
18. 小红和小强同时从家里出发相向而行。小红每分走52米,小强每分走70米,二人在途中的A处相遇。若小红提前4分出发,且速度不变,小强每分走90米,则两人仍在A处相遇。小红和小强两人的家相距多少米?
解:因为小红的速度不变,相遇地点不变,所以小红两次从出发到相遇的时间相同。也就是说,小强第二次比第一次少走4分。由
(70×4)÷(90-70)=14(分)
可知,小强第二次走了14分,推知第一次走了18分,两人的家相距(52+70)×18=2196(米)。
19. 小明和小军分别从甲、乙两地同时出发,相向而行。若两人按原定速度前
进,则4时相遇;若两人各自都比原定速度多1千米/时,则3时相遇。
甲、乙两地相距多少千米?
解:每时多走1千米,两人3时共多走6千米,这6千米相当于两人按原定速度1时走的距离。所以甲、乙两地相距6×4=24(千米)
20. 甲、乙两人沿400米环形跑道练习跑步,两人同时从跑道的同一地点向相反方向跑去。相遇后甲比原来速度增加2米/秒,乙比原来速度减少2米/秒,结果都用24秒同时回到原地。求甲原来的速度。
解:因为相遇前后甲、乙两人的速度和不变,相遇后两人合跑一圈用24秒,所以相遇前两人合跑一圈也用24秒,即24秒时两人相遇。
设甲原来每秒跑x米,则相遇后每秒跑(x+2)米。因为甲在相遇前后各跑了24秒,共跑400米,所以有24x+24(x+2)=400,解得x=7又1/3米。
21. 甲、乙两车分别沿公路从A,B两站同时相向而行,已知甲车的速度是乙车的1.5倍,甲、乙两车到达途中C站的时刻分别为5:00和16:00,两车相遇是什么时刻?
解:9∶24。解:甲车到达C站时,乙车还需16-5=11(时)才能到达C站。乙车行11时的路程,两车相遇需11÷(1+1.5)=4.4(时)=4时24分,所以相遇时刻是9∶24。
22. 一列快车和一列慢车相向而行,快车的车长是280米,慢车的车长是385米。坐在快车上的人看见慢车驶过的时间是11秒,那么坐在慢车上的人看见快车驶过的时间是多少秒?
解:快车上的人看见慢车的速度与慢车上的人看见快车的速度相同,所以两车的车长比等于两车经过对方的时间比,故所求时间为11 * (280/385)=8秒
23. 甲、乙二人练习跑步,若甲让乙先跑10米,则甲跑5秒可追上乙;若乙比甲先跑2秒,则甲跑4秒能追上乙。问:两人每秒各跑多少米?
解:甲乙速度差为10/5=2
速度比为(4+2):4=6:4
所以甲每秒跑6米,乙每秒跑4米。
24.甲、乙、丙三人同时从A向B跑,当甲跑到B时,乙离B还有20米,丙离B还有40米;当乙跑到B时,丙离B还有24米。问:
(1)A,B相距多少米?
(2)如果丙从A跑到B用24秒,那么甲的速度是多少?
解:

25. 在一条马路上,小明骑车与小光同向而行,小明骑车速度是小光速度的3倍,每隔10分有一辆公共汽车超过小光,每隔20分有一辆公共汽车超过小明。已知公共汽车从始发站每次间隔同样的时间发一辆车,问:相邻两车间隔几分?
解:设车速为a,小光的速度为b,则小明骑车的速度为3b。根据追及问题“追及时间×速度差=追及距离”,可列方程
10(a-b)=20(a-3b),
解得a=5b,即车速是小光速度的5倍。小光走10分相当于车行2分,由每隔10分有一辆车超过小光知,每隔8分发一辆车。
26. 一只野兔逃出80步后猎狗才追它,野兔跑8步的路程猎狗只需跑3步,猎狗跑4步的时间兔子能跑9步。猎狗至少要跑多少步才能追上野兔?
解:狗跑12步的路程等于兔跑32步的路程,狗跑12步的时间等于兔跑27步的时间。所以兔每跑27步,狗追上5步(兔步),狗要追上80步(兔步)需跑[27×(80÷5)+80]÷8×3=192(步)。
27. 甲、乙两人在铁路旁边以同样的速度沿铁路方向相向而行,恰好有一列火车开来,整个火车经过甲身边用了18秒,2分后又用15秒从乙身边开过。问:(1)火车速度是甲的速度的几倍?(2)火车经过乙身边后,甲、乙二人还需要多少时间才能相遇?
解:(1)设火车速度为a米/秒,行人速度为b米/秒,则由火车的长度可列出方程18(a-b)=15(a-b),求出a/b=11,即火车的速度是行人速度的11倍;(2)从车尾经过甲到车尾经过乙,火车走了135秒,此段路程一人走需1350×11=1485(秒),因为甲已经走了135秒,所以剩下的路程两人走还需(1485-135)÷2=675(秒)。
28. 辆车从甲地开往乙地,如果把车速提高20%,那么可以比原定时间提前1时到达;如果以原速行驶100千米后再将车速提高30%,那么也比原定时间提前1时到达。求甲、乙两地的距离。

29. 完成一件工作,需要甲干5天、乙干6天,或者甲干7天、乙干2天。问:甲、乙单独干这件工作各需多少天?
解:甲需要(7*3-5)/2=8(天)
乙需要(6*7-2*5)/2=16(天)
30.一水池装有一个放水管和一个排水管,单开放水管5时可将空池灌满,单开排水管7时可将满池水排完。如果放水管开了2时后再打开排水管,那么再过多长时间池内将积有半池水?

31.小松读一本书,已读与未读的页数之比是3∶4,后来又读了33页,已读与未读的页数之比变为5∶3。这本书共有多少页?
解:开始读了3/7 后来总共读了5/8
33/(5/8-3/7)=33/(11/56)=56*3=168页
32.一件工作甲做6时、乙做12时可完成,甲做8时、乙做6时也可以完成。如果甲做3时后由乙接着做,那么还需多少时间才能完成?
解:甲做2小时的等于乙做6小时的,所以乙单独做需要6*3+12=30(小
时),甲单独做需要10小时,因此乙还需要(1-3/10)/(1/30)=21天才可以完成。
33. 有一批待加工的零件,甲单独做需4天,乙单独做需5天,如果两人合作,那么完成任务时甲比乙多做了20个零件。这批零件共有多少个?
解:甲和乙的工作时间比为4:5,所以工作效率比是5:4,工作量的比也5:4,把甲做的看作5份,乙做的看作4份;那么甲比乙多1份,就是20个。因此9份就是180个,所以这批零件共180个。
34.挖一条水渠,甲、乙两队合挖要6天完成。甲队先挖3天,乙队接着挖1天,可挖这条水渠的3/10,问:两队单独挖各需要多少天?
解:根据条件,甲挖6天乙挖2天可挖这条水渠的3/5;所以乙挖4天能挖2/5;因此乙1天能挖1/10,即乙单独挖需要10天。甲单独挖需要1/(1/6-1/10)=15天。
35. 修一段公路,甲队独做要用40天,乙队独做要用24天。现在两队同时从两端开工,结果在距中点750米处相遇。这段公路长多少米?

36. 有一批工人完成某项工程,如果能增加8个人,则10天就能完成;如果能增加3个人,就要20天才能完成。现在只能增加2个人,那么完成这项工程需要多少天?
解:将1人1天完成的工作量称为1份。调来3人与调来8人相比,10天少完成(8-3)×10=50(份)。这50份还需调来3人干10天,所以原来有工人50÷10-3=2(人),全部工程有(2+8)×10=100(份)。调来2人需100÷
(2+2)=25(天)。
37.

解:三角形AOB和三角形DOC的面积和为长方形的50%,所以三角形AOB 占32%
16÷32%=50
38.
解:1/2*1/3=1/6
所以三角形ABC的面积是三角形AED面积的6倍。
39.下面9个图中,大正方形的面积分别相等,小正方形的面积分别相等。问:哪几个图中的阴影部分与图(1)阴影部分面积相等?
解:(2)(4)(7)(8)(9)
40. 观察下列各串数的规律,在括号中填入适当的数2,5,11,23,47,(),……
解:括号内填95 规律:数列里地每一项都等于它前面一项的2倍减1
41. 在下面的数表中,上、下两行都是等差数列。上、下对应的两个数字中,大数减小数的差最小是几?
解:1000-1=999
997-995=992
每次减少7,999/7=142 (5)
所以下面减上面最小是5
1333-1=1332 1332/7=190 (2)
所以上面减下面最小是2
因此这个差最小是2。
42. 如果四位数6□□8能被73整除,那么商是多少?
解:估计这个商的十位应该是8,看个位可以知道是6,因此这个商是86。
43. 求各位数字都是7,并能被63整除的最小自然数。
解:63=7*9 所以至少要9个7才行(因为各位数字之和必须是9的倍数)
44. 1×2×3×…×15能否被9009整除?
解:能。将9009分解质因数9009=3*3*7*11*13
45. 能否用1,2,3,4,5,6六个数码组成一个没有重复数字,且能被11整除的六位数?为什么?
解:不能。因为1+2+3+4+5+6=21,如果能组成被11整除的六位数,那么奇数位的数字和与偶数位的数字和一个为16,一个为5,而最小的三个数字之和1+2+3=6>5,所以不可能组成。
46. 有一个自然数,它的最小的两个约数之和是4,最大的两个约数之和是100,求这个自然数。
解:最小的两个约数是1和3,最大的两个约数一个是这个自然数本身,另一个是这个自然数除以3的商。最大的约数与第二大的约数之比是3:1,由此得出这个自然数是100/(1+3)*3=75
47.100以内约数个数最多的自然数有五个,它们分别是几?
解:如果恰有一个质因数,那么约数最多的是26=64,有7个约数;
如果恰有两个不同质因数,那么约数最多的是23×32=72和25×3=96,各有12个约数;
如果恰有三个不同质因数,那么约数最多的是22×3×5=60,22×3×7=84和2×32×5=90,各有12个约数。
所以100以内约数最多的自然数是60,72,84,90和96。
48. 写出三个小于20的自然数,使它们的最大公约数是1,但两两均不互质。
解:6,10,15
49. 有336个苹果、252个桔子、210个梨,用这些果品最多可分成多少份同样的礼物?在每份礼物中,三样水果各多少?
解:42份;每份有苹果8个,桔子6个,梨5个。
50. 三个连续自然数的最小公倍数是168,求这三个数。
解:6,7,8。提示:相邻两个自然数必互质,其最小公倍数就等于这两个数的乘积。而相邻三个自然数,若其中只有一个偶数,则其最小公倍数等于这三个数的乘积;若其中有两个偶数,则其最小公倍数等于这三个数乘积的一半。
51. 一副扑克牌共54张,最上面的一张是红桃K。如果每次把最上面的12张牌移到最下面而不改变它们的顺序及朝向,那么,至少经过多少次移动,红桃K 才会又出现在最上面?
解:因为[54,12]=108,所以每移动108张牌,又回到原来的状况。又因为每
次移动12张牌,所以至少移动108÷12=9(次)。
52. 爷爷对小明说:“我现在的年龄是你的7倍,过几年是你的6倍,再过若干年就分别是你的5倍、4倍、3倍、2倍。”你知道爷爷和小明现在的年龄吗?解:爷爷70岁,小明10岁。提示:爷爷和小明的年龄差是6,5,4,3,2的公倍数,又考虑到年龄的实际情况,取公倍数中最小的。(60岁)
53. 某质数加6或减6得到的数仍是质数,在50以内你能找出几个这样的质数?并将它们写出来。
解:11,13,17,23,37,47。
54. 在放暑假的8月份,小明有五天是在姥姥家过的。这五天的日期除一天是合数外,其它四天的日期都是质数。这四个质数分别是这个合数减去1,这个合数加上1,这个合数乘上2减去1,这个合数乘上2加上1。问:小明是哪几天在姥姥家住的?
解:设这个合数为a,则四个质数分别为(a-1),(a+1),(2a-1),(2a+1)。因为(a-1)与(a+1)是相差2的质数,在1~31中有五组:3,5;5,7;11,13;17,19;21,31。经试算,只有当a=6时,满足题意,所以这五天是8月5,6,7,11,13日。
55. 有两个整数,它们的和恰好是两个数字相同的两位数,它们的乘积恰好是三个数字相同的三位数。求这两个整数。
解:3,74;18,37。
提示:三个数字相同的三位数必有因数111。因为111=3×37,所以这两个整数中有一个是37的倍数(只能是37或74),另一个是3的倍数。
56. 在一根100厘米长的木棍上,从左至右每隔6厘米染一个红点,同时从右至左每隔5厘米也染一个红点,然后沿红点处将木棍逐段锯开。问:长度是1厘米的短木棍有多少根?
解:因为100能被5整除,所以可以看做都是自左向右染色。因为6与5的最小公倍数是30,即在30厘米处同时染上红点,所以染色以30厘米为周期循环出现。一个周期的情况如下图所示

由上图知道,一个周期内有2根1厘米的木棍。所以三个周期即90厘米有6根,最后10厘米有1根,共7根。
57. 某种商品按定价卖出可得利润960元,若按定价的80%出售,则亏损832元。问:商品的购入价是多少元?
解:8000元。按两种价格出售的差额为960+832=1792(元),这个差额是按定价出售收入的20%,故按定价出售的收入为1792÷20%=8960(元),其中含利润960元,所以购入价为8000元。
58. 甲桶的水比乙桶多20%,丙桶的水比甲桶少20%。乙、丙两桶哪桶水多?
解:乙桶多。
59. 学校数学竞赛出了A,B,C三道题,至少做对一道的有25人,其中做对A题的有10人,做对B题的有13人,做对C题的有15人。如果二道题都做对的只有1人,那么只做对两道题和只做对一道题的各有多少人?
解:只做对两道题的人数为(10+13+15)-25 -2×1=11(人),只做对一道题的人数为25-11-1=13(人)。
60. 学校举行棋类比赛,设象棋、围棋和军棋三项,每人最多参加两项。根据报名的人数,学校决定对象棋的前六名、围棋的前四名和军棋的前三名发放奖品。问:最多有几人获奖?最少有几人获奖?
解:共有13人次获奖,故最多有13人获奖。又每人最多参加两项,即最多获两项奖,因此最少有7人获奖。
61. 在前1000个自然数中,既不是平方数也不是立方数的自然数有多少个?解:因为312<1000<322,103=1000,所以在前1000个自然数中有31个平方数,10个立方数,同时还有3个六次方数(16,26,36)。所求自然数共有1000-(31+10)+3=962(个)。
62. 用数字0,1,2,3,4可以组成多少个不同的三位数(数字允许重复)?
解:4*5*5=100个
63. 要从五年级六个班中评选出学习、体育、卫生先进集体各一个,有多少种
不同的评选结果?
解:6*6*6=216种
64. 已知15120=24×33×5×7,问:15120共有多少个不同的约数?
解:15120的约数都可以表示成2a×3b×5c×7d的形式,其中a=0,1,2,3,4,b=0,1,2,3,c=0,1,d=0,1,即a,b,c,d的可能取值分别有5,4,2,2种,所以共有约数5×4×2×2=80(个)。
65. 大林和小林共有小人书不超过50本,他们各自有小人书的数目有多少种可能的情况?
解:他们一共可能有0~50本书,如果他们共有n本书,则大林可能有书0~n 本,也就是说这n本书在两人之间的分配情况共有(n+1)种。所以不超过50本书的所有可能的分配情况共有1+2+3…+51=1326(种)。
66. 在右图中,从A点沿线段走最短路线到B点,每次走一步或两步,共有多少种不同走法?(注:路线相同步骤不同,认为是不同走法。)

解:80种。提示:从A到B共有10条不同的路线,每条路线长5个线段。每次走一个或两个线段,每条路线有8种走法,所以不同走法共有 8×10=80(种)。
67.有五本不同的书,分别借给3名同学,每人借一本,有多少种不同的借法?
解:5*4*3=60种
68.有三本不同的书被5名同学借走,每人最多借一本,有多少种不同的借法?
解:5*4*3=60种
69. 恰有两位数字相同的三位数共有多少个?
解:在900个三位数中,三位数各不相同的有9×9×8=648(个),三位数全相同的有9个,恰有两位数相同的有900—648—9=243(个)。
70. 从1,3,5中任取两个数字,从2,4,6中任取两个数字,共可组成多少个没有重复数字的四位数?
解:三个奇数取两个有3种方法,三个偶数取两个也有3种方法。共有3×3×4!=216(个)。

71. 左上图中有多少个锐角?
解:C(11,2)=55个
72. 10个人围成一圈,从中选出两个不相邻的人,共有多少种不同选法?
解:c(10,2)-10=35种
73. 一牧场上的青草每天都匀速生长。这片青草可供27头牛吃6周,或供23头牛吃9周。那么可供21头牛吃几周?
解:将1头牛1周吃的草看做1份,则27头牛6周吃162份,23头牛9周吃207份,这说明3周时间牧场长草207-162=45(份),即每周长草15份,牧场原有草162-15×6=72(份)。21头牛中的15头牛吃新长出的草,剩下的6头牛吃原有的草,吃完需72÷6=12(周)。
74.有一水池,池底有泉水不断涌出。要想把水池的水抽干,10台抽水机
需抽8时,8台抽水机需抽12时。如果用6台抽水机,那么需抽多少小时?
解:将1台抽水机1时抽的水当做1份。泉水每时涌出量为
(8×12-10×8)÷(12-8)=4(份)。
水池原有水(10-4)×8=48(份),6台抽水机需抽48÷(6-4)=24(时)。
75.规定a*b=(b+a)×b,求(2*3)*5。
解:2*3=(3+2)*3=15
15*5=(15+5)*5=100
76.1!+2!+3!+…+99!的个位数字是多少?
解:1!+2!+3!+4!=1+2+6+24=33
从5!开始,以后每一项的个位数字都是0
所以1!+2!+3!+…+99!的个位数字是3。
77(1)有一批四种颜色的小旗,任意取出三面排成一行,表示各种信号。在200个信号中至少有多少个信号完全相同?
解:4*4*4=64
200÷64=3 (8)
所以至少有4个信号完全相同。
77(2)在今年入学的一年级新生中有370多人是在同一年出生的。试说明:他们中至少有2个人是在同一天出生的。
解:因为一年最多有366天,看做366个抽屉,因为370>366,所以根据抽屉原理至少有2个人是在同一天出生的。
78.从前11个自然数中任意取出6个,求证:其中必有2个数互质。
证明:把前11个自然数分成如下5组
(1,2,3)(4,5)(6,7)(8,9)(10,11)
6个数放入5组必然有2个数在同一组,那么这两个数必然互质。
79.小明去爬山,上山时每时行2.5千米,下山时每时行4千米,往返共用3.9时。小明往返一趟共行了多少千米?

80.长江沿岸有A,B两码头,已知客船从A到B每天航行500千米,从B到A每天航行400千米。如果客船在A,B两码头间往返航行5次共用18天,那么两码头间的距离是多少千米?
解:800千米。 提示:从A到B与从B到A的速度比是5∶4,从A到B用

81. 请在下式中插入一个数码,使之成为等式:1×11×111= 111111
解答:91*11*111=111111
82.甲、乙、丙三数的和是100,甲数除以乙数与丙数除以甲数的结果都是商5余1。问:乙数是多少?
解:设乙数是x,那么甲数就是5x+1
丙数是5(5x+1)+1=25x+6
因此x+5x+1+25x+6=100
31x=93 x=3
所以乙数是3
83.12345654321×(1+2+3+4+5+6+5+4+3+2+1)是哪个数的平方?解:12345654321=111111的平方
1+2+3+4+5+6+5+4+3+2+1=36=6的平方
所以原式=666666的平方。
84.某剧院有25排座位,后一排比前一排多2个座位,最后一排有70个座位。问:这个剧院一共有多少个座位?
解:第一排有70-24*2=22个座位
所以总座位数是(22+70)*25/2 =1150
85. 某城市举行小学生数学竞赛,试卷共有20道题。评分标准是:答对一道给3分,没答的题每题给1分,答错一道扣1分。问:所有参赛学生的得分总和是奇数还是偶数?为什么?
解:一定是偶数,因为每个人20道题得分都分别是奇数,20个奇数的和一定是偶数。每个人的得分都是偶数,所以无论有多少参赛学生,参赛学生的得分总和一定是偶数。
86. 可以分解为三个质数之积的最小的三位数是几?
解:102=2*3*17
87. 两个质数的和是39,求这两个质数的积。
解:注意到奇偶性可以知道这2个质数分别是2和37
它们的乘积是2*37=74
88. 有1,2,3,4,5,6,7,8,9九张牌,甲、乙、丙各拿了三张。甲说:“我的三张牌的积是48。”乙说:“我的三张牌的和是15。”丙说:“我的三张牌的积是63。”问:他们各拿了哪三张牌?
解:63=7*1*9 所以丙拿的1,7,9
48=2*3*8 所以甲拿的2,3,8
4+5+6=15 因此乙拿的是4,5,6
89. 四个连续自然数的积是3024,求这四个数。
解:考虑末尾数字,1*2*3*4末尾是4
6*7*8*9末尾也是4
其他情况下末尾都是0
11*12*13*14=24024太大
6*7*8*9=3024刚好
所以这4个数是6,7,8,9
90. 证明:任何一个三位数,连着写两遍得到一个六位数,这个六位数一定能被7,11,13整除。
解:该数形如ABCABC=ABC*1001
1001=7*11*13
所以这个六位数一定能被7,11,13整除。
91.在1~100中,所有的只有3个约数的自然数的和是多少?
解:4+9+25+49=87
92. 有一种电子钟,每到正点响一次铃,每过九分钟亮一次灯。如果中午12点整它既响铃又亮灯,那么下一次既响铃又亮灯是什么时间?
解:[60,9]=180
180/60=3
下次是下午3点钟。
93. 有一个数除以3余2,除以4余1。问:此数除以12余几?
解:除以3余2的数是2,5,8,11,14。。。。。。
除以4余1的数是1,5,9,。。。。。。
所以此数除以12余5
94. 把16拆成若干个自然数的和,要求这些自然数的乘积尽量大,应如何拆?解:16=3+3+3+3+2+2
乘积是3*3*3*3*2*2=324
95. 小明按1~3报数,小红按1~4报数。两人以同样的速度同时开始报数,当两人都报了100个数时,有多少次两人报的数相同?
解:每12次作为一个周期
1 2 3 1 2 3 1 2 3 1 2 3
1 2 3 4 1 2 3 4 1 2 3 4
每个周期两人有3次报的数一样
100=12*8+4
所以两个人有8*3+3=27次报的数相同。
96. 某自然数加10或减10皆为平方数,求这个自然数。
解:设这个数是x
x+10=m^2
x-10=n^2
m^2-n^2=20 (m+n)(m-n)=20
m=6,n=4
所以x=6^2-10=26
97. 已知某铁路桥长1000米,一列火车从桥上通过,测得火车从开始上桥到完全下桥共用120秒,整列火车完全在桥上的时间为80秒。求火车的速度和长度。
解:120秒行驶的距离是桥长+车长
80秒行驶的距离是桥长-车长
所以80(1000+车长)=120(1000-车长)
车长=200米
火车的速度是10米/秒
98. 甲、乙二人按顺时针方向沿圆形跑道练习跑步,已知甲跑一圈要12分,乙跑一圈要15分,如果他们分别从圆形跑道直径的两端同时出发,那么出发后多少分甲追上乙?
解:(1/2)/(1/12-1/15)=(1/2)/(1/60)=30分钟
99. 甲、乙比赛乒乓球,五局三胜。已知甲胜了第一局,并最终获胜。问:各局的胜负情况有多少种可能?
解:甲甲甲
甲甲乙甲
甲甲乙乙甲
甲乙甲甲
甲乙甲乙甲
甲乙乙甲甲
经枚举发现共有6种可能。
100. 甲、乙二人2时共可加工54个零件,甲加工3时的零件比乙加工4时的零件还多4个。问:甲每时加工多少个零件?
解:甲乙二人一小时共可加工零件27个
设甲每小时加工x个,那么乙每小时加工27-x个
根据条件得3x=4(27-x)+4
7x=112 x=16
答:甲每小时加工零件16个。
小学数学奥数难题及答案
1.甲、乙两队学生从相距18km的两地同时出发,相向而行。一个同学骑车以14km/时的速度,在两队之间联络。甲队5km/时,乙队4km/时。两队相遇时,骑车的同学共行多少千米?
答、18/(5+4)=2小时
2.将5个数从小到大排列,平均数是38,前3个数的平均数是27,后3个数的平均数是48,中间一个数是多少?
答5个数共190
前两个数之和190-48*3=46
第三个数为X,则:(46+X)/3=27
X=35
3.除法求出469和1072的最大公因数
答、1072/469=2余134
469/134=3余67
134/67=2余0
即469和1072的最大公因数是67
4.()()x()()=1995?()里数字不同。
答、1995=3*5*7*19=21*95=35*57
又()里数字不同
所以填(2)(1)x(9)(5)=1995
或(9)(5)x(2)(1)=1995
三个小朋友家里都种着树,小月说我家比小华家少种了20棵,小亮说我家比小月家多种1/4,小华说我家比小月家多种1/5,(1)问小华家种了多少棵树 (2)小亮家种了多少棵树(1)答120棵 (2)答125棵8、数学题90,100,600,3四个数的答案是2400(用加减乘除或括号计算)答:90÷3×100-600 =2400
9.姐姐做英语题,比妹妹做数学题多用48分钟,比妹妹做英语题多用42分钟,妹妹做数学、英语两门共用了44分钟,那么妹妹做英语练习用了多少分钟?
设妹做数学用x英语用y 1,{x+y=44 {x=25
{x+42=y+48 解{y=19 答:用了19分钟
10.学校原来的男生与女生的人数比是4:3,后来转入两名女生,现在,女生是男生的5/6,问原来有男生和女生各多少名?答: 原来4:3(男比女) 现在6:5 (男比女)男生不变 尽量把比例合一 4:3=4×1.5:3×1.5 = 6:4.5(原来男比女)
现在6:5 (男比女)6:4.5(原来男比女)2÷(5-4.5)=一份=4(人)
共有6+4.5=10.5(份)4×10.5=42(人)11.图书馆有故事书,故事书借出40%后,有买进360本,这时的故事书与原来的比是3:4,问原来有多少本?
答: 设原来是x。(1-40%)x+360=现在的书的本数
现在是3份 原来是4份
(1-40%)x+360 = x÷4×3
60%x+360 = x÷4×3
五分之三x+360 = x×四分之三(打不出来分数)
x = 2400
12.某校办厂生产一批乒乓球,准备装盒,如果每盒装3、5、6、7个,都余2个;如果每盒装8个,正好装完。这批乒乓球至少有多少个?答:[3、5、6、7]=*****+2=212不能被8整除
210×2+2=422也不能
210×3+2=632
632÷8=79
最少有632个
13.甲乙两圆锥体容器形状相同、体积相等,甲、乙容器倒置,甲容器中水的高度是圆锥高的1/3,乙容器中水的高度是圆锥高的2/3,问哪个容器的水多?多的是少的几倍?答:
∵甲乙两圆锥体容器形状相同、体积相等
∴圆锥体底面积为S,高H,体积V,底面半径R.
V=(1/3)×S×H
锥体容器底面半径R与高的关系为:
R/r=H/h r,h为有水时,水面的半径和高.
甲容器中水的高度H1是圆锥高H的1/3
R/r1=H/(H/3) r1=R/3
此时水平面面积S1=πr^=πR^/9
体积V1=(1/3)×S1×H1=S/27
乙容器中水的高度H2是圆锥高H的2/3
R/r2=H/(2H/3) r2=2R/3
此时水平面面积S2=π(r2^)=4πR^/9
体积V2=(1/3)×S2×H2=8S/27
此时乙容器的水多,是甲的8倍.
14.判断对错
(1).如果ab-5=120,则a与b成反比例。 ( 对 )
(2)一件工作,甲独做3小时完成,乙独做4小时完成,甲、乙工作效率的比是3:4 (错)
15..六年级参加摄影小组的20%与参加图画小组人数的25%相等已知摄影小组的人数是25人,求参加图画小组的有多少人(用两种方法解)
答:算式方法:25×20%=5(人)5/25%=20(人)
答:参加图画小组的有20人。
方程: 解:设参加图画小组的有x人。
25%x=25×20%
x=5/25%
x=20
答:参加图画小组的有20人。
16.如果A:B=5:2,B:C=4:3,则A:B:C=():():()
答:(10):(4):(3)
17.1路公交车到广场西口时,有5分之2的乘客下车,又有14人上车,这时车上的乘客比原来多10分之3。车上原来有乘客多少人?
答:14 ÷[(1+3/10)-(1-2/5)]=14 ÷[13/10-3/5]
=14 ÷0.7
=20
答:车上原来有乘客20人
18.张老师把5000元钱存入银行,定期一年,一年的利率是4.14%,到期时,张老师能得到利息多少元?一共多少元?(利息税为5%)
答:利息:5000×1×4.14%×5% =5000×4.14%×5%
=207×5%
=10.35(元)
总共:5000+10.35=5010.35(元)19.某校参加军训队列表演比赛,组织一个方阵队伍.如果每班60人,这个方阵至少要有4个班的同学参加,如果每班70人,这个方阵至少要有3个班的同学参加.那么组成这个方阵的人数应为几人? 20. 甲、乙、丙三台车床加工方形和圆形的两种零件,已知甲车床每加工3个零件中有2个是圆形的;乙车床每加工4个零件中有3个是圆形的;丙车床每加工5个零件中有4个是圆形的.这天三台车床共加工了58个圆形零件,而加工的方形零件个数的比为4:3:3,那么这天三台车床共加工零件几个?
关于小学数学公式大全及知识点总结完整版下载的内容就收集整理到这里了,希望可以对有需要的朋友们提供一些帮助,大家可以结合实际情况来参考以上范文,以此来帮助自己顺利展开后续工作。如果这期内容对大家有所帮助,也请大家多关注本站。
本内容由qingfan收集整理,不代表本站观点,如果侵犯您的权利,请联系删除(点这里联系),如若转载,请注明出处:https://www.xbfw.com.cn/62662.html